Suppr超能文献

L. 根中一种皂苷与模型脂质膜相互作用的分子基础。

The Molecular Bases of the Interaction between a Saponin from the Roots of L. and Model Lipid Membranes.

作者信息

Korchowiec Beata, Korchowiec Jacek, Kwiecińska Klaudia, Gevrenova Reneta, Bouguet-Bonnet Sabine, Deng Cheng, Henry Max, Rogalska Ewa

机构信息

Faculty of Chemistry, Jagiellonian University, Ul. Gronostajowa 2, 30-387 Krakow, Poland.

Department of Pharmacognosy, Faculty of Pharmacy, Medical University-Sofia, 2 Dunav Str., 1000 Sofia, Bulgaria.

出版信息

Int J Mol Sci. 2022 Mar 21;23(6):3397. doi: 10.3390/ijms23063397.

Abstract

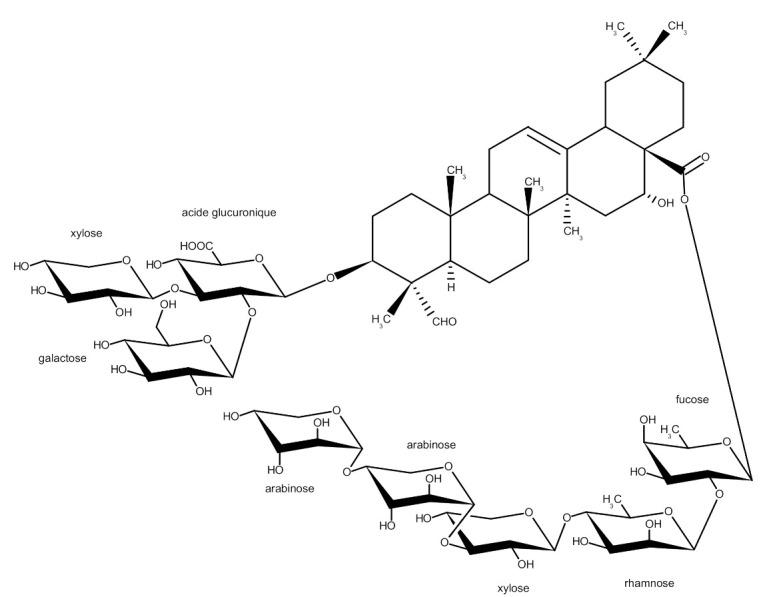
In view of the possible medical applications of saponins, the molecular structure of a GOTCAB saponin from the roots of L. was determined by NMR. The biological activity of saponins may depend on the interaction with cell membranes. To obtain more insight in the mechanism of membrane-related saponin function, an experimental and theoretical study was conducted. Ternary lipid systems composed of sphingomyelin, 1-palmitoyl-2-oleoyl--glycero-3-phosphocholine, and cholesterol were used as models of mammalian cell membranes. The membrane-saponin interaction was studied experimentally by monitoring surface pressure in the monomolecular films formed at the air-aqueous subphase interface. The behavior of GOTCAB saponin in a water box and model monolayer systems was characterized by molecular dynamics simulations. The results obtained showed that, in the systems used, cholesterol had a decisive effect on the interaction between GOTCAB and phosphocholine or sphingomyelin as well as on its location within the lipid film.

摘要

鉴于皂苷可能的医学应用,通过核磁共振(NMR)确定了来自L.根部的一种GOTCAB皂苷的分子结构。皂苷的生物活性可能取决于与细胞膜的相互作用。为了更深入了解与膜相关的皂苷功能机制,进行了一项实验和理论研究。由鞘磷脂、1-棕榈酰-2-油酰-sn-甘油-3-磷酸胆碱和胆固醇组成的三元脂质体系被用作哺乳动物细胞膜的模型。通过监测在空气-水亚相界面形成的单分子膜中的表面压力,对膜-皂苷相互作用进行了实验研究。通过分子动力学模拟表征了GOTCAB皂苷在水箱和模型单层体系中的行为。所得结果表明,在所使用的体系中,胆固醇对GOTCAB与磷酸胆碱或鞘磷脂之间的相互作用及其在脂质膜中的位置具有决定性影响。

https://cdn.ncbi.nlm.nih.gov/pmc/blobs/8b72/8949875/e4d5f8a52264/ijms-23-03397-g001.jpg

文献AI研究员

20分钟写一篇综述,助力文献阅读效率提升50倍。

立即体验

用中文搜PubMed

大模型驱动的PubMed中文搜索引擎

马上搜索

文档翻译

学术文献翻译模型,支持多种主流文档格式。

立即体验