Suppr超能文献

环糊精-低聚己内酯衍生物的合成及基质辅助激光解吸电离质谱法的高级结构表征

Cyclodextrin-Oligocaprolactone Derivatives-Synthesis and Advanced Structural Characterization by MALDI Mass Spectrometry.

作者信息

Peptu Cristian, Blaj Diana-Andreea, Balan-Porcarasu Mihaela, Rydz Joanna

机构信息

Petru Poni Institute of Macromolecular Chemistry, Grigore Ghica Voda Alley, 41A, 700487 Iasi, Romania.

Polish-Romanian Laboratory ADVAPOL, M. Curie-Skłodowska 34, 41-819 Zabrze, Poland and Aleea Grigore Ghica Voda, 41A, 700487 Iasi, Romania.

出版信息

Polymers (Basel). 2022 Mar 31;14(7):1436. doi: 10.3390/polym14071436.

Abstract

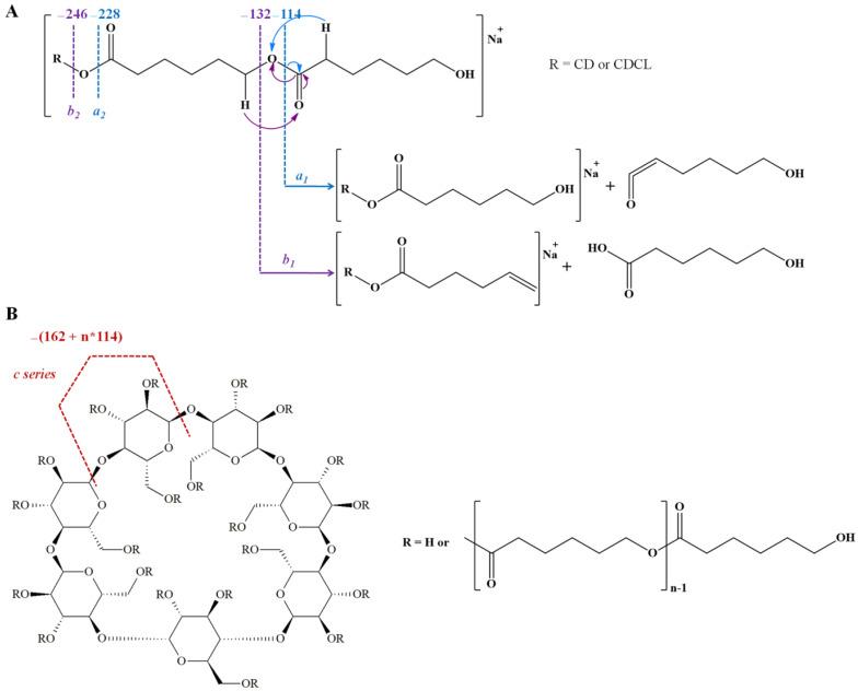
Cyclodextrins have previously been proven to be active in the catalysis of cyclic ester ring-opening reactions, hypothetically in a similar way to lipase-catalyzed reactions. However, the way they act remains unclear. Here, we focus on β-cyclodextrin's involvement in the synthesis and characterization of β-cyclodextrin-oligocaprolactone (CDCL) products obtained via the organo-catalyzed ring-opening of ε-caprolactone. Previously, bulk or supercritical carbon dioxide polymerizations has led to inhomogeneous products. Our approach consists of solution polymerization (dimethyl sulfoxide and dimethylformamide) to obtain homogeneous CDCL derivatives with four monomer units on average. Oligomerization kinetics, performed by a matrix-assisted laser desorption ionization mass spectrometry (MALDI MS) optimized method in tandem with H NMR, revealed that monomer conversion occurs in two stages: first, the monomer is rapidly attached to the secondary OH groups of β-cyclodextrin and, secondly, the monomer conversion is slower with attachment to the primary OH groups. MALDI MS was further employed for the measurement of the ring-opening kinetics to establish the influence of the solvents as well as the effect of organocatalysts (4-dimethylaminopyridine and (-)-sparteine). Additionally, the mass spectrometry structural evaluation was further enhanced by fragmentation studies which confirmed the attachment of oligoesters to the cyclodextrin and the cleavage of dimethylformamide amide bonds during the ring-opening process.

摘要

环糊精此前已被证明在催化环状酯开环反应中具有活性,其作用方式假定与脂肪酶催化反应类似。然而,它们的作用方式仍不清楚。在此,我们聚焦于β-环糊精在通过ε-己内酯的有机催化开环反应获得的β-环糊精-低聚己内酯(CDCL)产物的合成与表征中的作用。此前,本体聚合或超临界二氧化碳聚合会产生不均匀的产物。我们的方法包括溶液聚合(二甲基亚砜和二甲基甲酰胺),以平均获得具有四个单体单元的均匀CDCL衍生物。通过与核磁共振氢谱串联优化的基质辅助激光解吸电离质谱(MALDI MS)进行的低聚反应动力学表明,单体转化分两个阶段发生:首先,单体迅速连接到β-环糊精的仲羟基上,其次,单体连接到伯羟基上时转化较慢。MALDI MS进一步用于测量开环动力学,以确定溶剂的影响以及有机催化剂(4-二甲基氨基吡啶和(-)-鹰爪豆碱)的作用。此外,通过碎片研究进一步增强了质谱结构评估,该研究证实了在开环过程中低聚酯与环糊精的连接以及二甲基甲酰胺酰胺键的断裂。

https://cdn.ncbi.nlm.nih.gov/pmc/blobs/1f2b/9003485/c55173d53ac5/polymers-14-01436-sch001.jpg

文献AI研究员

20分钟写一篇综述,助力文献阅读效率提升50倍。

立即体验

用中文搜PubMed

大模型驱动的PubMed中文搜索引擎

马上搜索

文档翻译

学术文献翻译模型,支持多种主流文档格式。

立即体验