Suppr超能文献

院外心脏骤停接受或未接受机械循环支持治疗后的生存情况及神经功能转归

Survival and neurological outcome after out-of-hospital cardiac arrest treated with and without mechanical circulatory support.

作者信息

Mørk Sivagowry Rasalingam, Bøtker Morten Thingemann, Christensen Steffen, Tang Mariann, Terkelsen Christian Juhl

机构信息

Department of Cardiology, Aarhus University Hospital, Denmark.

Aarhus University, Aarhus, Denmark.

出版信息

Resusc Plus. 2022 Apr 6;10:100230. doi: 10.1016/j.resplu.2022.100230. eCollection 2022 Jun.

Abstract

AIM

The aim of this study was to describe the survival and neurological outcome in patients with OHCA treated with and without mechanical circulatory support (MCS).

METHODS

This was a retrospective observational cohort study on patients with OHCA admitted to Aarhus University Hospital, Denmark, between January 2015 and December 2019. Kaplan-Meier estimates were used to evaluate 30-day and 30-180-day survival. Cox regression analysis was used to assess the association between covariates and one-year mortality.

RESULTS

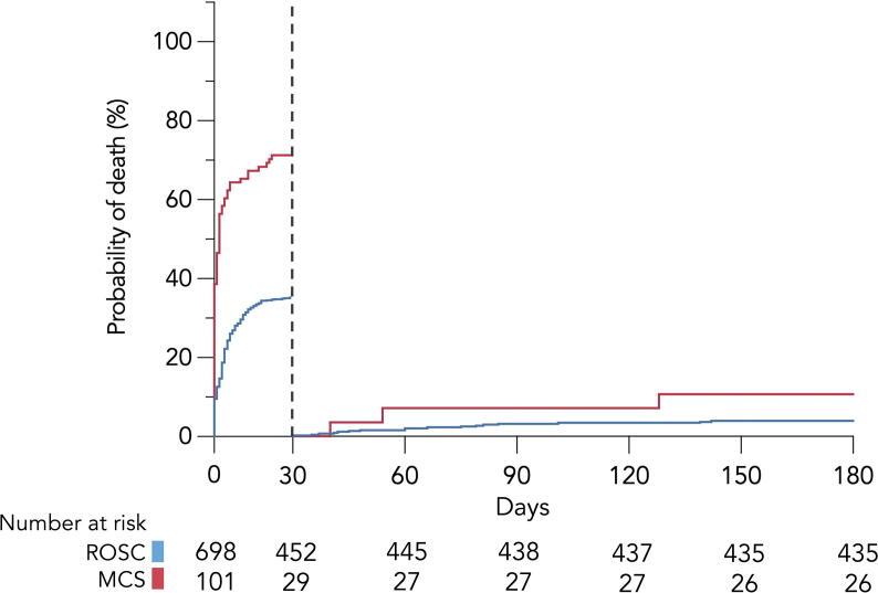
Among 1,015 patients admitted, 698 achieved return of spontaneous circulation (ROSC) before admission, 101 patients with refractory OHCA received mechanical circulatory support (MCS) and the remaining 216 patients with refractory OHCA did not receive MCS treatment. Survival to hospital discharge was 47% (478/1015). Good neurological outcome defined as Cerebral Performance Categories 1-2 were seen among 92% (438/478) of the patients discharged from hospital. Median low-flow was 15 [8-22] minutes in the ROSC group and 105 [94-123] minutes in the MCS group. Mortality rates were high within the first 30 days, however; 30-180-day survival in patients discharged remained constant over time in both patients with ROSC on admission and patients admitted with MCS. Advanced age > 70 years (hazard ratio (HR) 1.98, 95% confidence interval (CI) 1.11-3.49), pulseless electrical activity (HR 2.39, 95% CI 1.25-4.60) and asystole HR 2.70, 95% CI 1.25-5.95) as initial rhythms were associated with one-year mortality in patients with ROSC.

CONCLUSIONS

Short-term survival rates were high among patients with ROSC and patients receiving MCS. Among patients who survived to day 30, landmark analyses showed comparable 180-day survival in the two groups despite long low-flow times in the MCS group. Advanced age and initial non-shockable rhythms were independent predictors of one-year mortality in patients with ROSC on admission.

摘要

目的

本研究旨在描述接受和未接受机械循环支持(MCS)治疗的院外心脏骤停(OHCA)患者的生存情况和神经功能转归。

方法

这是一项对2015年1月至2019年12月期间入住丹麦奥胡斯大学医院的OHCA患者进行的回顾性观察队列研究。采用Kaplan-Meier估计法评估30天和30 - 180天的生存率。使用Cox回归分析评估协变量与一年死亡率之间的关联。

结果

在1015例入院患者中,698例在入院前实现了自主循环恢复(ROSC),101例难治性OHCA患者接受了机械循环支持(MCS),其余216例难治性OHCA患者未接受MCS治疗。出院生存率为47%(478/1015)。从医院出院的患者中,92%(438/478)的患者神经功能转归良好,定义为脑功能分级1 - 2级。ROSC组的中位低流量时间为15 [8 - 22]分钟,MCS组为105 [94 - 123]分钟。然而,在前30天内死亡率较高;入院时具有ROSC的患者和接受MCS入院的患者中,出院患者的30 - 180天生存率随时间保持稳定。年龄>70岁(风险比(HR)1.98,95%置信区间(CI)1.11 - 3.49)、无脉电活动(HR 2.39,95% CI 1.25 - 4.60)和心搏停止(HR 2.70,95% CI 1.25 - 5.95)作为初始心律与具有ROSC的患者的一年死亡率相关。

结论

具有ROSC的患者和接受MCS的患者短期生存率较高。在存活至第30天的患者中,标志性分析显示,尽管MCS组的低流量时间较长,但两组的180天生存率相当。高龄和初始不可电击心律是入院时具有ROSC的患者一年死亡率的独立预测因素。

https://cdn.ncbi.nlm.nih.gov/pmc/blobs/728b/9010695/73ac74a24886/gr1.jpg

文献AI研究员

20分钟写一篇综述,助力文献阅读效率提升50倍。

立即体验

用中文搜PubMed

大模型驱动的PubMed中文搜索引擎

马上搜索

文档翻译

学术文献翻译模型,支持多种主流文档格式。

立即体验