Suppr超能文献

褪黑素介导的陆地棉敏感和耐受品种干旱耐受性的差异调控

Melatonin Mediated Differential Regulation of Drought Tolerance in Sensitive and Tolerant Varieties of Upland Cotton (.

作者信息

Supriya Laha, Durgeshwar Pullaiahgari, Muthamilarasan Mehanathan, Padmaja Gudipalli

机构信息

Department of Plant Sciences, School of Life Sciences, University of Hyderabad, Hyderabad, India.

出版信息

Front Plant Sci. 2022 Apr 4;13:821353. doi: 10.3389/fpls.2022.821353. eCollection 2022.

Abstract

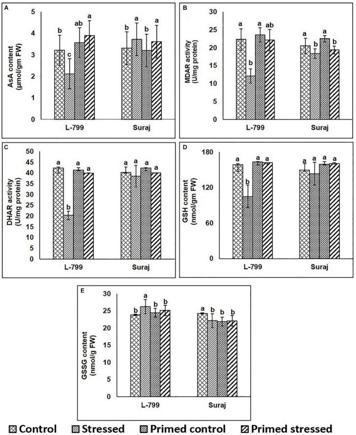
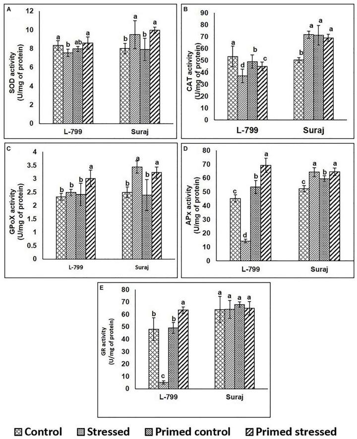
Melatonin (-acetyl-5-methoxytryptamine), a biomolecule with multifunctional phyto-protectant activities, enhances the tolerance to broad-spectrum biotic and abiotic stresses in plants. However, little information is available on the effect of melatonin on different morpho-physiological, biochemical, and molecular parameters during drought stress incidence in varieties contrastingly differing in their tolerance levels. The present study is aimed at investigating the drought stress responses of drought-sensitive (var. L-799) and drought-tolerant (var. Suraj) varieties after exogenous melatonin priming and gaining mechanistic insights into drought tolerance in upland cotton (). Melatonin-priming enhanced the tolerance of L-799 to drought stress by modulating the antioxidant system, with increased photosynthetic activity, water-use efficiency, and nitrogen metabolism. Higher endogenous melatonin content and upregulated expression of candidate stress-responsive genes in primed L-799 suggested their involvement in drought tolerance. The higher expression of autophagosome marker [lipidated (ATG8-PE)] in melatonin-primed drought-stressed plants of L-799 also indicated the role of autophagy in alleviating drought stress. Interestingly, melatonin-priming did not show pronounced differences in the different parameters studied during the presence or absence of drought stress in Suraj. In conclusion, this study showed that melatonin plays an important role in mitigating drought stress effects by modulating several physiological, biochemical, and molecular processes, with the key regulatory factor being the plant tolerance level that serves as the switch that turns the priming effects on/off.

摘要

褪黑素(N-乙酰-5-甲氧基色胺)是一种具有多功能植物保护活性的生物分子,可增强植物对广谱生物和非生物胁迫的耐受性。然而,关于褪黑素对耐受性水平差异显著的品种在干旱胁迫发生期间不同形态生理、生化和分子参数的影响,目前所知甚少。本研究旨在探究外源褪黑素预处理后干旱敏感品种(L-799)和耐旱品种(Suraj)对干旱胁迫的响应,并深入了解陆地棉耐旱的机制。褪黑素预处理通过调节抗氧化系统增强了L-799对干旱胁迫的耐受性,提高了光合活性、水分利用效率和氮代谢。预处理的L-799中较高的内源褪黑素含量和候选胁迫响应基因的上调表达表明它们参与了耐旱过程。在褪黑素预处理的L-799干旱胁迫植株中自噬体标记物[脂化(ATG8-PE)]的较高表达也表明自噬在缓解干旱胁迫中的作用。有趣的是,在Suraj中,无论有无干旱胁迫,褪黑素预处理在所研究的不同参数上均未显示出明显差异。总之,本研究表明,褪黑素通过调节多个生理、生化和分子过程在减轻干旱胁迫影响方面发挥重要作用,关键调节因素是植物耐受性水平,它作为开启或关闭预处理效应的开关。

https://cdn.ncbi.nlm.nih.gov/pmc/blobs/0b1f/9014207/631335d3fb15/fpls-13-821353-g001.jpg

文献AI研究员

20分钟写一篇综述,助力文献阅读效率提升50倍。

立即体验

用中文搜PubMed

大模型驱动的PubMed中文搜索引擎

马上搜索

文档翻译

学术文献翻译模型,支持多种主流文档格式。

立即体验