Suppr超能文献

PTEN相关胶质瘤微环境中的免疫景观:一项生物信息学分析

Immune Landscape in PTEN-Related Glioma Microenvironment: A Bioinformatic Analysis.

作者信息

Giotta Lucifero Alice, Luzzi Sabino

机构信息

Neurosurgery Unit, Department of Clinical-Surgical, Diagnostic and Pediatric Sciences, University of Pavia, 27100 Pavia, Italy.

Neurosurgery Unit, Department of Surgical Sciences, Fondazione IRCCS Policlinico San Matteo, 27100 Pavia, Italy.

出版信息

Brain Sci. 2022 Apr 14;12(4):501. doi: 10.3390/brainsci12040501.

Abstract

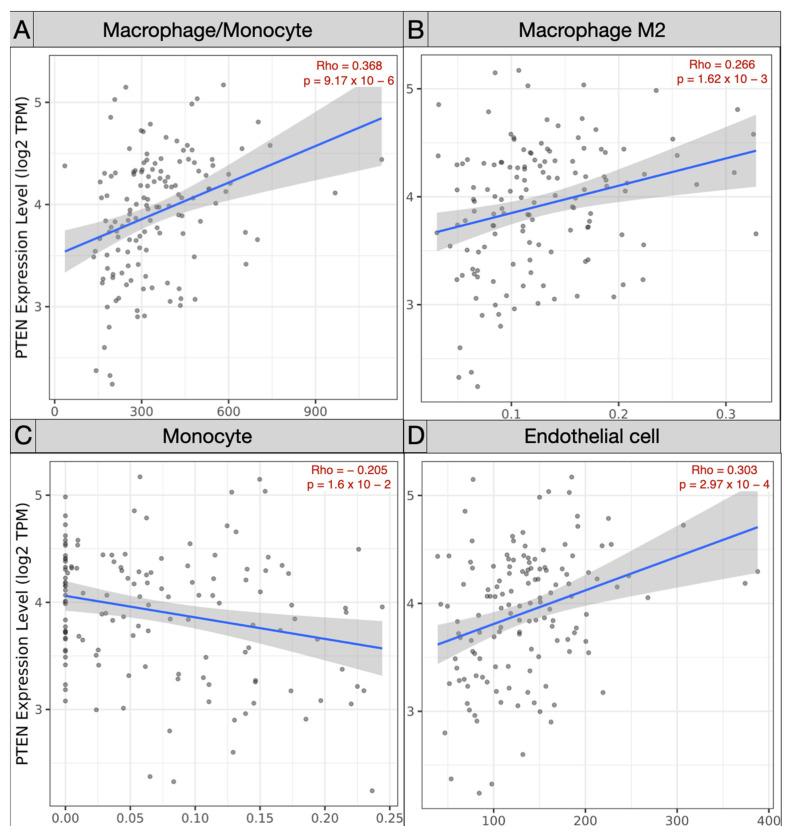
Introduction: PTEN gene mutations are frequently found in the genetic landscape of high-grade gliomas since they influence cell proliferation, proangiogenetic pathways, and antitumoral immune response. The present bioinformatics analysis explores the PTEN gene expression profile in HGGs as a prognostic factor for survival, especially focusing on the related immune microenvironment. The effects of PTEN mutation on the susceptibility to conventional chemotherapy were also investigated. Methods: Clinical and genetic data of GBMs and normal tissue samples were acquired from The Cancer Genome Atlas (TCGA)-GBM and Genotype-Tissue Expression (GTEx) online databases, respectively. The genetic differential expressions were analyzed in both groups via the one-way ANOVA test. Kaplan−Meier survival curves were applied to estimate the overall survival (OS) and disease-free survival (DFS). The Genomics of Drug Sensitivity in Cancer platform was chosen to assess the response of PTEN-mutated GBMs to temozolomide (TMZ). p < 0.05 was fixed as statistically significant. On Tumor Immune Estimation Resource and Gene Expression Profiling Interactive Analysis databases, the linkage between immune cell recruitment and PTEN status was assessed through Spearman’s correlation analysis. Results: PTEN was found mutated in 22.2% of the 617 TCGA-GBMs patients, with a higher log2-transcriptome per million reads compared to the GTEx group (255 samples). Survival curves revealed a worse OS and DFS, albeit not significant, for the high-PTEN profile GBMs. Spearman’s analysis of immune cells demonstrated a strong positive correlation between the PTEN status and infiltration of Treg (ρ = 0.179) and M2 macrophages (ρ = 0.303). The half-maximal inhibitor concentration of TMZ was proven to be lower for PTEN-mutated GBMs compared with PTEN wild-types. Conclusions: PTEN gene mutations prevail in GBMs and are strongly related to poor prognosis and least survival. The infiltrating immune lymphocytes Treg and M2 macrophages populate the glioma microenvironment and control the mechanisms of tumor progression, immune escape, and sensitivity to standard chemotherapy. Broader studies are required to confirm these findings and turn them into new therapeutic perspectives.

摘要

引言

PTEN基因突变在高级别胶质瘤的基因图谱中经常被发现,因为它们会影响细胞增殖、促血管生成途径和抗肿瘤免疫反应。本生物信息学分析探讨了PTEN基因在高级别胶质瘤中的表达谱作为生存预后因素,尤其关注相关免疫微环境。还研究了PTEN突变对传统化疗敏感性的影响。方法:分别从癌症基因组图谱(TCGA)-胶质母细胞瘤(GBM)和基因型-组织表达(GTEx)在线数据库获取GBM患者和正常组织样本的临床和基因数据。通过单因素方差分析检验两组的基因差异表达。应用Kaplan-Meier生存曲线估计总生存期(OS)和无病生存期(DFS)。选择癌症药物敏感性基因组学平台评估PTEN突变的GBM对替莫唑胺(TMZ)的反应。设定p < 0.05为具有统计学意义。在肿瘤免疫估计资源和基因表达谱交互式分析数据库上,通过Spearman相关性分析评估免疫细胞募集与PTEN状态之间的联系。结果:在617例TCGA-GBM患者中,发现22.2%的患者PTEN发生突变,与GTEx组(255个样本)相比,每百万读数的log2转录组更高。生存曲线显示,高PTEN表达谱的GBM患者的OS和DFS较差,尽管不显著。对免疫细胞的Spearman分析表明,PTEN状态与调节性T细胞(Treg)浸润(ρ = 0.179)和M2巨噬细胞浸润(ρ = 0.303)之间存在强正相关。与PTEN野生型相比,PTEN突变的GBM对TMZ的半数最大抑制浓度较低。结论:PTEN基因突变在GBM中普遍存在,与预后不良和生存期短密切相关。浸润性免疫淋巴细胞Treg和M2巨噬细胞存在于胶质瘤微环境中,并控制肿瘤进展、免疫逃逸和对标准化疗敏感性的机制。需要更广泛的研究来证实这些发现,并将其转化为新的治疗观点。

https://cdn.ncbi.nlm.nih.gov/pmc/blobs/39d4/9029006/632592ca3dad/brainsci-12-00501-g001.jpg

文献AI研究员

20分钟写一篇综述,助力文献阅读效率提升50倍。

立即体验

用中文搜PubMed

大模型驱动的PubMed中文搜索引擎

马上搜索

文档翻译

学术文献翻译模型,支持多种主流文档格式。

立即体验