Suppr超能文献

镉荧光和比色探针的最新进展。

Recent progress in cadmium fluorescent and colorimetric probes.

作者信息

Shi Chun-Tian, Huang Zhi-Yu, Wu Ai-Bin, Hu Yan-Xiong, Wang Ning-Chen, Zhang Ying, Shu Wen-Ming, Yu Wei-Chu

机构信息

School of Chemistry and Environmental Engineering, Yangtze University Jingzhou Hubei People's Republic of China

Unconventional Oil and Gas Collaborative Innovation Center, Yangtze University Jingzhou Hubei People's Republic of China.

出版信息

RSC Adv. 2021 Sep 3;11(47):29632-29660. doi: 10.1039/d1ra05048f. eCollection 2021 Sep 1.

Abstract

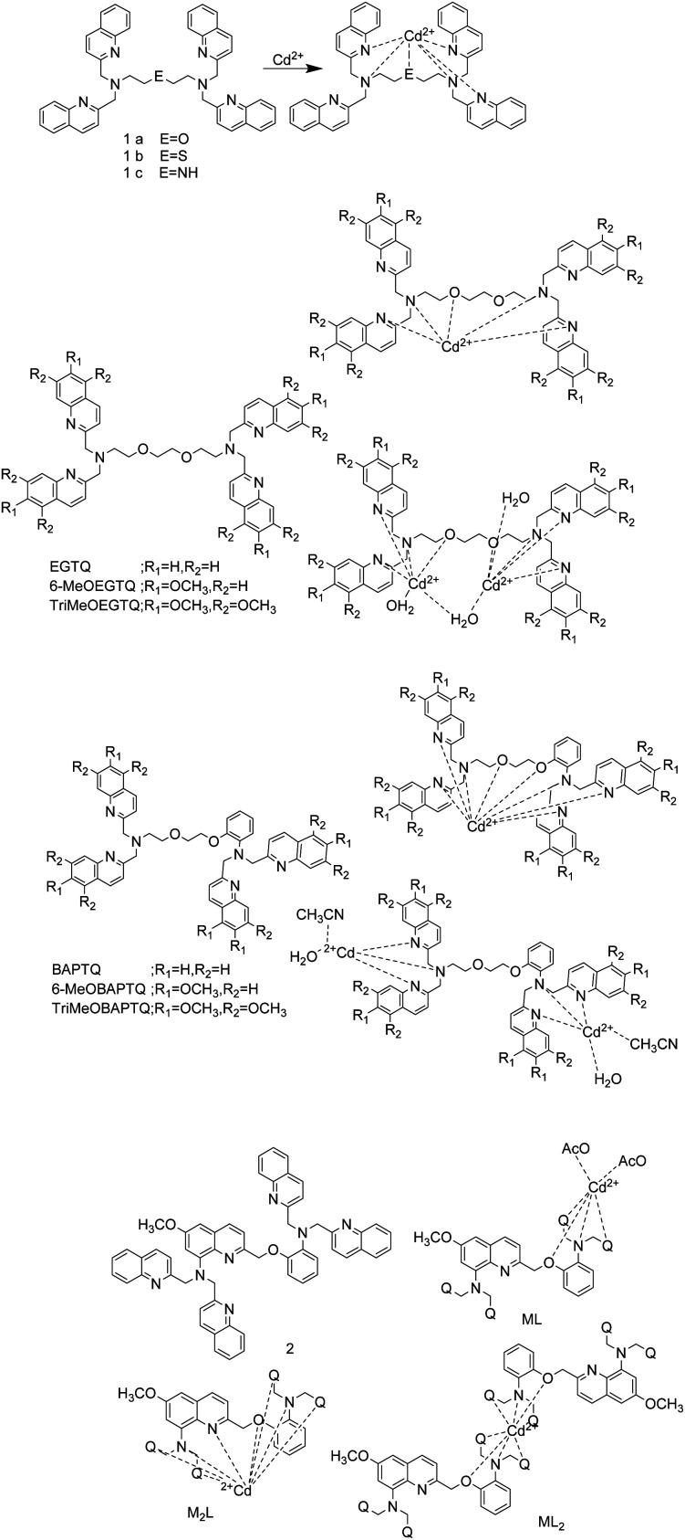
Cadmium is a heavy metal which exists widely in industrial and agricultural production and can induce a variety of diseases in organisms. Therefore, its detection is of great significance in the fields of biology, environment and medicine. Fluorescent probe has been a powerful tool for cadmium detection because of its convenience, sensitivity, and bioimaging capability. In this paper, we reviewed 98 literatures on cadmium fluorescent sensors reported from 2017 to 2021, classified them according to different fluorophores, elaborated the probe design, application characteristics and recognition mode, summarized and prospected the development of cadmium fluorescent and colorimetric probes. We hope to provide some help for researchers to design cadmium fluorescent probes with higher selectivity, sensitivity and practicability.

摘要

镉是一种重金属,广泛存在于工农业生产中,可诱发生物体的多种疾病。因此,其检测在生物学、环境和医学领域具有重要意义。荧光探针因其便捷性、灵敏度和生物成像能力,一直是镉检测的有力工具。本文综述了2017年至2021年报道的98篇关于镉荧光传感器的文献,根据不同荧光团对其进行分类,阐述了探针设计、应用特点和识别模式,总结并展望了镉荧光和比色探针的发展。我们希望能为研究人员设计出具有更高选择性、灵敏度和实用性的镉荧光探针提供一些帮助。

https://cdn.ncbi.nlm.nih.gov/pmc/blobs/0acf/9040829/868e798b9772/d1ra05048f-f1.jpg

文献AI研究员

20分钟写一篇综述,助力文献阅读效率提升50倍。

立即体验

用中文搜PubMed

大模型驱动的PubMed中文搜索引擎

马上搜索

文档翻译

学术文献翻译模型,支持多种主流文档格式。

立即体验