Suppr超能文献

伊朗门诊 Duchenne 肌营养不良症男孩疾病进展特征及遗传相关性研究。

Characteristics of disease progression and genetic correlation in ambulatory Iranian boys with Duchenne muscular dystrophy.

机构信息

Pediatrics Center of Excellence, Department of Pediatric Neurology, Children's Medical Center, Tehran University of Medical Sciences, Tehran, Iran.

Department of Pediatric Neurology, Vali-e-Asr Hospital, Imam Khomeini Hospital Complex, Tehran University of Medical Sciences, Tehran, Iran.

出版信息

BMC Neurol. 2022 May 2;22(1):162. doi: 10.1186/s12883-022-02687-1.

Abstract

BACKGROUND

Duchenne muscular dystrophy (DMD) is the most common muscular dystrophy in the pediatric population. The manifestations of this disease include progressive muscle weakness, gait dysfunction, and motor impairment, leading to a loss of ambulation by the age of 13 years. Molecular diagnosis is the standard diagnostic tool for DMD. This study aimed to investigate disease progression and genetic patterns in Iranian ambulant boys and to find the correlation between genotypes and motor function phenotypes.

METHODS

This study was performed on 152 DMD patients. Clinical history, including the disease phenotype, steroid therapy, and the North Star Ambulatory Assessment (NSAA) score, was taken for all the patients. Molecular diagnoses were confirmed by multiplex ligation-dependent probe amplification and next-generation sequencing tests.

RESULTS

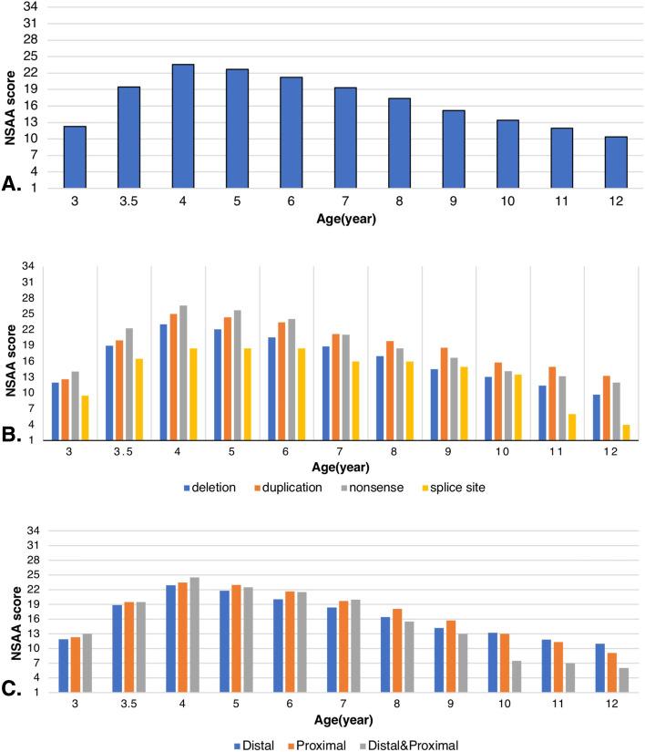
A total of 152 Iranian DMD patients were examined in this study. The mean age at the time of disease onset was 4.04 ± 2.00 years, and the mean age at diagnosis was 5.05 ± 2.08 years. The mean age of ambulation loss was 10.9 years. Contracture was reported in 38.9% of cases. In terms of age, the mean total NSAA score showed a peak at 4 years of age, with a mean NSAA score of 24. Annual changes in the NSAA score were determined for all cases, based on the mutation type and exon site. Deletion mutation was found in 79.1% of cases, duplication in 6.8%, nonsense in 12.8%, and splice site in 1.4%. The most common single exon deletion was exon 44 (5.3%), and the most common multiexon deletions were attributed to exons 45-50 and exons 45-52 (4.6%). The results did not indicate any correlation between the mutation type and age at the time of disease onset, loss of ambulation age, and wheelchair dependence; however, a significant association was found between contracture and mutation type. The results showed a significant difference in the NSAA score between the deletion and nonsense groups at the age of 3 years (P = 0.04). No significant correlation was found between the phenotype and exon site. Overall, 91.1% of the study population had a history of corticosteroid use, and 54.1% showed compliance with rehabilitation therapy.

CONCLUSION

This study demonstrated the phenotypes and mutational features of Iranian DMD boys and provided information regarding the natural motor history of the disease, disease progression, diagnosis, and status of DMD management in Iran. The present findings can promote the development of clinical trials and future advanced molecular therapies in Iran.

摘要

背景

杜氏肌营养不良症(DMD)是儿科人群中最常见的肌肉营养不良症。这种疾病的表现包括进行性肌肉无力、步态功能障碍和运动障碍,导致 13 岁时丧失行走能力。分子诊断是 DMD 的标准诊断工具。本研究旨在调查伊朗可走动男孩的疾病进展和遗传模式,并找到基因型与运动功能表型之间的相关性。

方法

本研究对 152 名 DMD 患者进行了研究。对所有患者进行了临床病史,包括疾病表型、类固醇治疗和北方之星可走动评估(NSAA)评分。通过多重连接依赖性探针扩增和下一代测序试验确认了分子诊断。

结果

本研究共检查了 152 名伊朗 DMD 患者。疾病发病的平均年龄为 4.04±2.00 岁,诊断时的平均年龄为 5.05±2.08 岁。丧失行走能力的平均年龄为 10.9 岁。38.9%的病例报告有挛缩。就年龄而言,总 NSAA 评分在 4 岁时达到峰值,平均 NSAA 评分为 24。根据突变类型和外显子位置,确定了所有病例的 NSAA 评分的年度变化。79.1%的病例为缺失突变,6.8%为重复突变,12.8%为无义突变,1.4%为剪接位点突变。最常见的单个外显子缺失是外显子 44(5.3%),最常见的多外显子缺失归因于外显子 45-50 和外显子 45-52(4.6%)。结果表明,突变类型与疾病发病年龄、丧失行走能力年龄和轮椅依赖之间没有相关性,但与突变类型有显著相关性。结果显示,在 3 岁时,缺失组和无义组之间的 NSAA 评分有显著差异(P=0.04)。表型与外显子位置之间无显著相关性。总体而言,91.1%的研究人群有使用皮质类固醇的病史,54.1%的人遵守康复治疗。

结论

本研究展示了伊朗 DMD 男孩的表型和突变特征,并提供了有关该病自然运动史、疾病进展、诊断和伊朗 DMD 管理现状的信息。本研究结果可以促进伊朗开展临床试验和未来的先进分子治疗。

https://cdn.ncbi.nlm.nih.gov/pmc/blobs/9623/9063277/d05a93123f14/12883_2022_2687_Fig1_HTML.jpg

文献AI研究员

20分钟写一篇综述,助力文献阅读效率提升50倍。

立即体验

用中文搜PubMed

大模型驱动的PubMed中文搜索引擎

马上搜索

文档翻译

学术文献翻译模型,支持多种主流文档格式。

立即体验