Suppr超能文献

在脓毒症诱导的凝血病患者中,重症监护病房中血浆纤维蛋白原水平降低与高死亡率相关。

Decreasing Plasma Fibrinogen Levels in the Intensive Care Unit Are Associated with High Mortality Rates In Patients With Sepsis-Induced Coagulopathy.

机构信息

School of Medicine, 13051Shiga University of Medical Science, Otsu, Shiga, Japan.

Emergency and Intensive Care Unit, 469340Shiga University of Medical Science Hospital, Otsu, Shiga, Japan.

出版信息

Clin Appl Thromb Hemost. 2022 Jan-Dec;28:10760296221101386. doi: 10.1177/10760296221101386.

Abstract

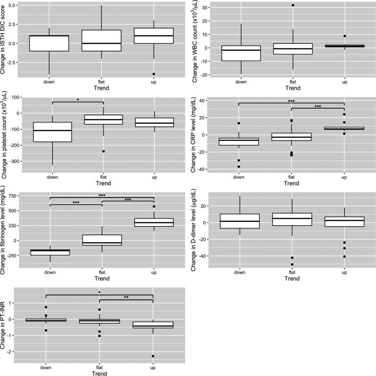
Plasma fibrinogen levels increase in response to infection, but they could also decrease due to degradation as in severe coagulopathy. We evaluated 60 septic patients with their CRP levels over 5.00 mg/dL. The patients were classified into three groups based on the ratio of the maximum or minimum fibrinogen concentration within day 3 to the initial concentration on day 0: down-, flat, and uptrend groups (n = 15, 30, and 15, respectively). Both down- and flat trend groups showed reduced inflammatory markers on day 3, and the degree of platelet loss (10/μL) and the mortality rate (%) were more remarkable in the downtrend group ( - 108 vs  - 42 [ = 0.026] and 46.7 vs 10.0 [ = 0.027]). On day 0, in total 12 and 9 patients were diagnosed with non-overt DIC in the down- and uptrend groups, of which 5 (41.7%) and 1 (11.1%) died within 28 days after admission. In conclusion, decreasing fibrinogen levels in the ICU are associated with high mortality in patients with sepsis followed by decreasing platelet counts, even when they are diagnosed with non-overt DIC.

摘要

血浆纤维蛋白原水平会因感染而升高,但也可能因严重凝血功能障碍导致降解而降低。我们评估了 60 例 CRP 水平超过 5.00mg/dL 的脓毒症患者。根据第 3 天内纤维蛋白原浓度的最高或最低值与第 0 天初始浓度的比值,将患者分为三组:下降组、平坦组和上升组(分别为 n=15、30 和 15)。下降组和平坦组在第 3 天均表现出炎症标志物减少,血小板丢失程度(10/μL)和死亡率(%)在下降组更显著(-108 vs -42[=0.026]和 46.7 vs 10.0[=0.027])。在第 0 天,下降组和上升组中共有 12 名和 9 名患者被诊断为非显性 DIC,其中 5 名(41.7%)和 1 名(11.1%)在入院后 28 天内死亡。总之,ICU 中纤维蛋白原水平下降与脓毒症患者死亡率升高相关,随后血小板计数下降,即使被诊断为非显性 DIC 也是如此。

https://cdn.ncbi.nlm.nih.gov/pmc/blobs/7ed4/9112680/02814db7dc1e/10.1177_10760296221101386-fig1.jpg

文献AI研究员

20分钟写一篇综述,助力文献阅读效率提升50倍。

立即体验

用中文搜PubMed

大模型驱动的PubMed中文搜索引擎

马上搜索

文档翻译

学术文献翻译模型,支持多种主流文档格式。

立即体验