Suppr超能文献

右美托咪定给药对经皮内窥镜腰椎间盘切除术患者镇痛、呼吸和炎症反应的影响:一项前瞻性观察研究。

Effect of dexmedetomidine administration on analgesic, respiration and inflammatory responses in patients undergoing percutaneous endoscopic lumbar discectomy: a prospective observational study.

机构信息

First Clinical Medical College, Gannan Medical University, Jiangxi, People's Republic of China.

Department of Anesthesiology, Jiangxi Provincial People's hospital, Jiangxi, People's Republic of China.

出版信息

BMC Anesthesiol. 2022 May 18;22(1):152. doi: 10.1186/s12871-022-01691-9.

Abstract

BACKGROUND

Local anesthesia has been recommended for percutaneous endoscopic lumbar discectomy (PELD) in recent years; however, the efficacy, including oxidative stress, inflammatory reactions and ventilation effects, when intravenous dexmedetomidine (DEX) is administered during PELD has not been described.

METHODS

Sixty adult patients undergoing PELD were randomly allocated to either an intravenous DEX sedation group (Group A) or a normal saline group (Group B). Respiratory data, including minute ventilation (MV), tidal volume (TV), and respiratory rate (RR), were recorded using a respiratory volume monitor (RVM), and peripheral oxygen saturation (SpO) was monitored by pulse oximetry. The visual analog score (VAS) was used to assess the level of pain. The serum levels of inflammatory biomarkers including interleukin-6 (IL-6) and tumor necrosis factor-α (TNF-α) were to assess inflammatory reactions. The serum levels of oxidative stress biomarkers including malondialdehyde (MDA) and glutathione peroxidase (GSH-PX) were also recorded to evaluate oxidative stress.

RESULTS

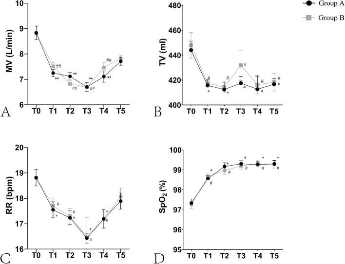
There were no significant differences in RR, MV, TV and SpO between the two groups at any time point (P > 0.05). Group B exhibited lower serum levels of GSH-PX (P < 0.0001) and higher serum levels of MDA (p < 0.0001) than Group A at the end of surgery. Twenty-four hours after surgery, Group B exhibited higher serum levels of IL-6 (P = 0.0033), TNF-α (P = 0.0002), and MDA (P < 0.0001) and lower serum levels of GSH-PX (P < 0.0001) than Group A. In addition, Group A exhibited lower VAS (P < 0.0001) than Group B during surgery.

CONCLUSIONS

DEX administration using RVM not only provides analgesia without ventilatory depression but also alleviates oxidative stress and inflammatory reactions in patients undergoing PELD.

摘要

背景

近年来,局部麻醉已被推荐用于经皮内窥镜腰椎间盘切除术(PELD);然而,当在 PELD 期间给予静脉内右美托咪定(DEX)时,其疗效,包括氧化应激、炎症反应和通气效应,尚未被描述。

方法

60 例接受 PELD 的成年患者被随机分配到静脉 DEX 镇静组(A 组)或生理盐水组(B 组)。使用呼吸容量监测仪(RVM)记录呼吸数据,包括分钟通气量(MV)、潮气量(TV)和呼吸频率(RR),并通过脉搏血氧饱和度仪监测外周血氧饱和度(SpO)。视觉模拟评分(VAS)用于评估疼痛程度。血清中炎症生物标志物白细胞介素-6(IL-6)和肿瘤坏死因子-α(TNF-α)的水平用于评估炎症反应。还记录血清中氧化应激生物标志物丙二醛(MDA)和谷胱甘肽过氧化物酶(GSH-PX)的水平以评估氧化应激。

结果

两组在任何时间点的 RR、MV、TV 和 SpO 均无显著差异(P>0.05)。与 A 组相比,B 组在手术结束时血清 GSH-PX 水平较低(P<0.0001),MDA 水平较高(p<0.0001)。术后 24 小时,B 组血清 IL-6(P=0.0033)、TNF-α(P=0.0002)和 MDA(P<0.0001)水平较高,GSH-PX(P<0.0001)水平较低。此外,A 组在手术过程中的 VAS 低于 B 组(P<0.0001)。

结论

使用 RVM 给予 DEX 不仅可以提供镇痛作用而不引起通气抑制,还可以减轻 PELD 患者的氧化应激和炎症反应。

https://cdn.ncbi.nlm.nih.gov/pmc/blobs/6bfa/9115924/7dc49dbe2868/12871_2022_1691_Fig1_HTML.jpg

文献AI研究员

20分钟写一篇综述,助力文献阅读效率提升50倍。

立即体验

用中文搜PubMed

大模型驱动的PubMed中文搜索引擎

马上搜索

文档翻译

学术文献翻译模型,支持多种主流文档格式。

立即体验