Suppr超能文献

长链非编码 RNA DLEU1 通过调节 miR-671-5p 调控软骨细胞的增殖、炎症和细胞外基质降解。

lncRNA DLEU1 Modulates Proliferation, Inflammation, and Extracellular Matrix Degradation of Chondrocytes through Regulating miR-671-5p.

机构信息

Department of Orthopaedic Surgery, Nanyang Second People's Hospital, Nanyang, Henan, China 473000.

Graduate School of Tianjin Medical University, Tianjin, China.

出版信息

J Immunol Res. 2022 May 18;2022:1816217. doi: 10.1155/2022/1816217. eCollection 2022.

Abstract

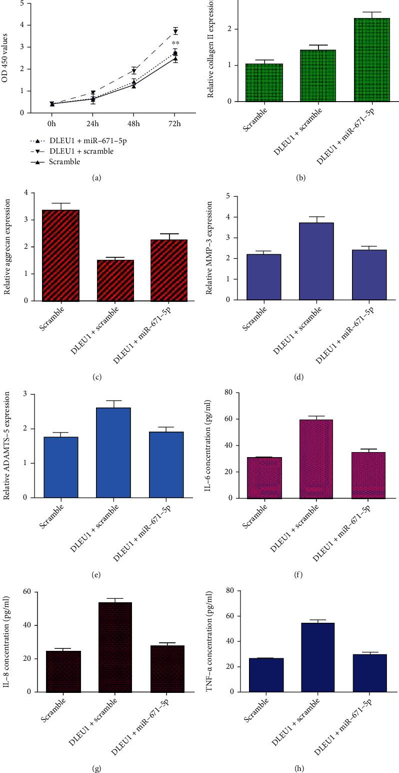
Long noncoding RNAs (lncRNAs) have been shown to be involved in the development of osteoarthritis. However, the expression, function, and mechanism of DLEU1 in OA development remain largely unclear. The present reference demonstrates that DLEU1 is overexpressed in OA specimens compared to control cartilages. Inflammatory cytokines IL-1, TNF-, and IL-6 induce DLEU1 expression in chondrocytes. Ectopic expression of DLEU1 induces chondrocyte proliferation, degradation of ECM, and inflammation mediators such as IL-6, IL-8, and TNF- secretion. Moreover, we demonstrated that DLEU1 targets miR-671-5p expression in chondrocytes. Overexpression of DLEU1 suppresses miR-671-5p expression in chondrocytes. The expression of miR-671-5p is decreased in OA specimens compared to control cartilages. There is a negative correlation between the expression of miR-671-5p and DLEU1 in OA specimens. Inflammatory mediators IL-1, TNF-, and IL-6 suppress miR-671-5p expression in OA specimens. Elevated expression of miR-671-5p suppresses chondrocyte proliferation, degradation of ECM, and secretion of inflammation mediators. DLEU1 overexpression promotes chondrocytes proliferation, degradation of ECM, and secretion of inflammation mediators via regulating miR-671-5p. These results suggested that DLEU1 acts as one destructive role in OA development via regulating miR-671-5p.

摘要

长链非编码 RNA(lncRNA)已被证明参与骨关节炎的发生。然而,DLEU1 在 OA 发展中的表达、功能和机制仍很大程度上不清楚。本研究表明,与对照软骨相比,DLEU1 在 OA 标本中过表达。炎性细胞因子 IL-1、TNF-α和 IL-6 诱导软骨细胞中 DLEU1 的表达。DLEU1 的异位表达诱导软骨细胞增殖、ECM 降解以及炎症介质如 IL-6、IL-8 和 TNF-α的分泌。此外,我们证明 DLEU1 靶向软骨细胞中的 miR-671-5p 表达。DLEU1 的过表达抑制软骨细胞中 miR-671-5p 的表达。与对照软骨相比,OA 标本中 miR-671-5p 的表达减少。OA 标本中 miR-671-5p 的表达与 DLEU1 的表达呈负相关。炎性介质 IL-1、TNF-α和 IL-6 抑制 OA 标本中 miR-671-5p 的表达。miR-671-5p 的高表达抑制软骨细胞增殖、ECM 降解和炎症介质的分泌。DLEU1 的过表达通过调节 miR-671-5p 促进软骨细胞增殖、ECM 降解和炎症介质的分泌。这些结果表明,DLEU1 通过调节 miR-671-5p 在 OA 发展中发挥破坏作用。

https://cdn.ncbi.nlm.nih.gov/pmc/blobs/8653/9132666/c0c5c3bbaecc/JIR2022-1816217.001.jpg

文献AI研究员

20分钟写一篇综述,助力文献阅读效率提升50倍。

立即体验

用中文搜PubMed

大模型驱动的PubMed中文搜索引擎

马上搜索

文档翻译

学术文献翻译模型,支持多种主流文档格式。

立即体验