Suppr超能文献

基于聚乳酸的含银纳米复合材料的结构-形态-抗菌抗病毒活性关系。

Structure-Morphology-Antimicrobial and Antiviral Activity Relationship in Silver-Containing Nanocomposites Based on Polylactide.

机构信息

Department of Polymer Modification, Institute of Macromolecular Chemistry of the National Academy of Sciences of Ukraine, 48. Kharkivske Shose, 02160 Kyiv, Ukraine.

Department of Plastics Welding, Evgeny Oskarovich Paton Electric Welding Institute of the National Academy of Sciences of Ukraine, 11. Kazymyr Malevych Str., 03680 Kyiv, Ukraine.

出版信息

Molecules. 2022 Jun 11;27(12):3769. doi: 10.3390/molecules27123769.

Abstract

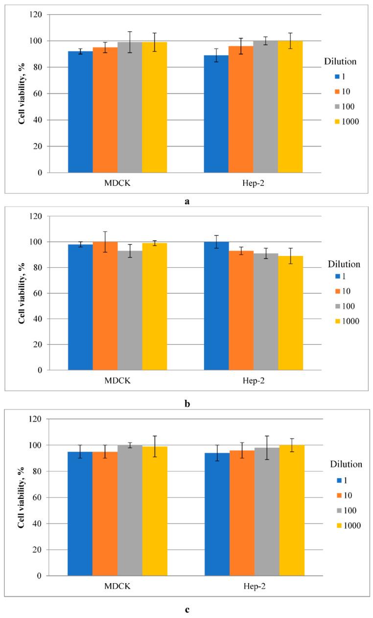
Green synthesis of silver-containing nanocomposites based on polylactide (PLA) was carried out in two ways. With the use of green tea extract, Ag ions were reduced to silver nanoparticles with their subsequent introduction into the PLA (mechanical method) and Ag ions were reduced in the polymer matrix of PLA-AgPalmitate (PLA-AgPalm) (in situ method). Structure, morphology and thermophysical properties of nanocomposites PLA-Ag were studied by FTIR spectroscopy, wide-angle X-ray scattering (WAXS), transmission electron microscopy (TEM), thermogravimetric analysis (TGA), and differential scanning calorimetry (DSC) methods. The antimicrobial, antiviral, and cytotoxic properties were studied as well. It was found that the mechanical method provides the average size of silver nanoparticles in the PLA of about 16 nm, while in the formation of samples by the in situ method their average size was 3.7 nm. The strong influence of smaller silver nanoparticles (3.7 nm) on the properties of nanocomposites was revealed, as with increasing nanosilver concentration the heat resistance and glass transition temperature of the samples decreases, while the influence of larger particles (16 nm) on these parameters was not detected. It was shown that silver-containing nanocomposites formed in situ demonstrate antimicrobial activity against gram-positive bacterium , gram-negative bacteria , , and the fungal pathogen of , and the activity of the samples increases with increasing nanoparticle concentration. Silver-containing nanocomposites formed by the mechanical method have not shown antimicrobial activity. The relative antiviral activity of nanocomposites obtained by two methods against influenza A virus, and adenovirus serotype 2 was also revealed. The obtained nanocomposites were not-cytotoxic, and they did not inhibit the viability of MDCK or Hep-2 cell cultures.

摘要

基于聚乳酸(PLA)的含银纳米复合材料的绿色合成是通过两种方法进行的。使用绿茶提取物,将 Ag 离子还原为银纳米粒子,随后将其引入 PLA(机械方法),或者在 PLA-AgPalmitate(PLA-AgPalm)的聚合物基质中还原 Ag 离子(原位方法)。通过傅里叶变换红外光谱、广角 X 射线散射(WAXS)、透射电子显微镜(TEM)、热重分析(TGA)和差示扫描量热法(DSC)研究了纳米复合材料 PLA-Ag 的结构、形貌和热物理性质。还研究了其抗菌、抗病毒和细胞毒性性质。结果发现,机械方法提供了 PLA 中银纳米粒子的平均尺寸约为 16nm,而在原位方法形成的样品中,其平均尺寸为 3.7nm。结果表明,较小的银纳米粒子(3.7nm)对纳米复合材料的性质有强烈的影响,随着纳米银浓度的增加,样品的耐热性和玻璃化转变温度降低,而较大颗粒(16nm)对这些参数的影响则未被检测到。结果表明,原位形成的含银纳米复合材料对革兰氏阳性菌、革兰氏阴性菌、和真菌病原体均表现出抗菌活性,并且随着纳米粒子浓度的增加,样品的活性增加。通过机械方法形成的含银纳米复合材料则没有表现出抗菌活性。两种方法获得的纳米复合材料对甲型流感病毒和腺病毒 2 型的相对抗病毒活性也被揭示。所获得的纳米复合材料无细胞毒性,并且不抑制 MDCK 或 Hep-2 细胞培养物的活力。

https://cdn.ncbi.nlm.nih.gov/pmc/blobs/5bd4/9227702/1638c9218d31/molecules-27-03769-g001.jpg

文献AI研究员

20分钟写一篇综述,助力文献阅读效率提升50倍。

立即体验

用中文搜PubMed

大模型驱动的PubMed中文搜索引擎

马上搜索

文档翻译

学术文献翻译模型,支持多种主流文档格式。

立即体验