Suppr超能文献

物质 GP-2250 作为一种治疗恶性腹膜间皮瘤的新治疗剂——一项 3-D 体外研究。

Substance GP-2250 as a New Therapeutic Agent for Malignant Peritoneal Mesothelioma-A 3-D In Vitro Study.

机构信息

Department of General-, Visceral-, Thoracic- and Vascular Surgery, Prosper Hospital, Stiftungsklinikum PROSELIS, 45659 Recklinghausen, Germany.

Department of General and Visceral Surgery, St. Josef-Hospital, Ruhr-University Bochum, 44791 Bochum, Germany.

出版信息

Int J Mol Sci. 2022 Jun 30;23(13):7293. doi: 10.3390/ijms23137293.

Abstract

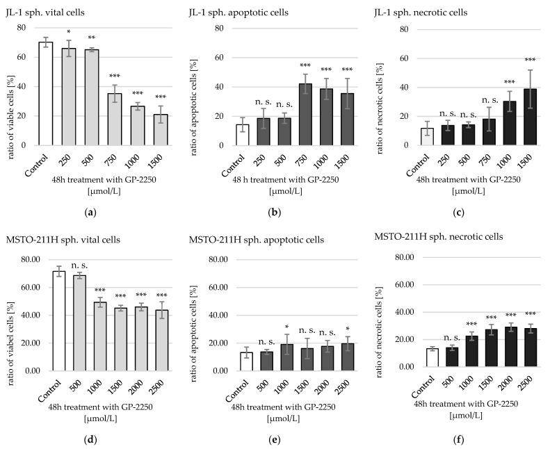
Malignant peritoneal mesothelioma is a rare tumor entity. Although cytoreductive surgery and hyperthermic intraperitoneal chemotherapy have increased overall survival, its prognosis remains poor. Established chemotherapeutics include mitomycin C (MMC) and cisplatin (CP), both characterized by severe side effects. GP-2250 is a novel antineoplastic agent, currently under clinical investigation. This in vitro study aims to investigate effects of GP-2250 including combinations with CP and MMC on malignant mesothelioma. JL-1 and MSTO-211H mesothelioma cell lines were treated with increasing doses of GP-2250, CP, MMC and combination therapies of GP-2250 + CP/MMC. Microscopic effects were documented, and a flow-cytometric apoptosis/necrosis assay was performed. Synergistic and antagonistic effects were analyzed by computing the combination index by Chou-Talalay. GP-2250 showed an antiadhesive effect on JL-1 and MSTO-211H spheroids. It had a dose-dependent cytotoxic effect on both monolayer and spheroid cultured cells, inducing apoptosis and necrosis. Combination treatments of GP-2250 with MMC and CP led to significant reductions of the effective doses of CP/MMC. Synergistic and additive effects were observed. GP-2250 showed promising antineoplastic effects on malignant mesothelioma cells in vitro especially in combination with CP/MMC. This forms the basis for further in vivo and clinical investigations in order to broaden treatment options.

摘要

恶性腹膜间皮瘤是一种罕见的肿瘤实体。虽然细胞减灭术和腹腔热灌注化疗提高了总生存率,但预后仍然较差。已确立的化疗药物包括丝裂霉素 C(MMC)和顺铂(CP),两者均具有严重的副作用。GP-2250 是一种新型抗肿瘤药物,目前正在临床研究中。本体外研究旨在研究 GP-2250 及其与 CP 和 MMC 的联合用药对恶性间皮瘤的作用。JL-1 和 MSTO-211H 间皮瘤细胞系用递增剂量的 GP-2250、CP、MMC 以及 GP-2250+CP/MMC 联合治疗进行处理。记录显微镜下的效果,并进行流式细胞术凋亡/坏死分析。通过 Chou-Talalay 计算组合指数来分析协同和拮抗作用。GP-2250 对 JL-1 和 MSTO-211H 球体具有抗粘附作用。它对单层和球体培养细胞具有剂量依赖性的细胞毒性作用,诱导凋亡和坏死。GP-2250 与 MMC 和 CP 的联合治疗导致 CP/MMC 的有效剂量显著降低。观察到协同和相加作用。GP-2250 对恶性间皮瘤细胞具有有前景的抗肿瘤作用,特别是与 CP/MMC 联合使用时。这为进一步的体内和临床研究奠定了基础,以拓宽治疗选择。

https://cdn.ncbi.nlm.nih.gov/pmc/blobs/b104/9267014/8c9cf0baa9ab/ijms-23-07293-g001.jpg

文献AI研究员

20分钟写一篇综述,助力文献阅读效率提升50倍。

立即体验

用中文搜PubMed

大模型驱动的PubMed中文搜索引擎

马上搜索

文档翻译

学术文献翻译模型,支持多种主流文档格式。

立即体验