Suppr超能文献

一种用于评估针对福氏耐格里阿米巴滋养体活性的荧光检测法。

A Fluorometric Assay for the Evaluation of Activity against Naegleria fowleri Cysts.

机构信息

Instituto Universitario de Enfermedades Tropicales y Salud Pública de Canarias, Universidad de La Laguna, La Laguna, Spain.

Departamento de Obstetricia, Ginecología, Pediatría, Medicina Preventiva y Salud Pública, Toxicología, Medicina Legal y Forense y Parasitología, Universidad de La Laguna, La Laguna, Spain.

出版信息

Microbiol Spectr. 2022 Aug 31;10(4):e0051522. doi: 10.1128/spectrum.00515-22. Epub 2022 Jul 11.

Abstract

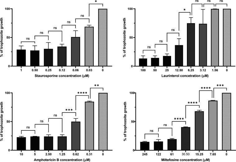
Primary amoebic meningoencephalitis (PAM) is a lethal and rapid infection that affects the central nervous system and is caused by the free-living amoeba Naegleria fowleri. The life cycle of this protozoa consists of three different stages: The trophozoite, flagellate and cyst stages. Currently, no fully effective molecules have been found to treat PAM. In the search of new antiamoebic molecules, most of the efforts have focused on the trophozoidal activity of the compounds. However, there are no reports on the effect of the compounds on the N. fowleri cyst viability. In the present study, the cysticidal activity of four different molecules was evaluated using an alamarBlue based fluorometric assay. All the tested compounds were active against the cyst stage of N. fowleri. In fact, all the molecules except the amphotericin B, showed highest activity toward the cyst stage than the trophozoite stage. This work could be an effective protocol to select molecules with cysticidal and trophozoidal activity that can be considered a future PAM treatment. In the search of new anti-Naegleria fowleri compounds, most of the works focus on the activity of different molecules against the trophozoite stage; however, none of them include the effect of those compounds on the cyst viability. This manuscript presents a solid and reliable assay to evaluate the activity of compounds against the cyst stage of N. fowleri.

摘要

原发性阿米巴脑膜脑炎(PAM)是一种致命且迅速的感染,会影响中枢神经系统,由自由生活的阿米巴原虫福氏耐格里虫引起。该原生动物的生命周期包括三个不同阶段:滋养体、鞭毛体和囊体阶段。目前,尚未发现完全有效的分子来治疗 PAM。在寻找新的抗阿米巴药物分子的过程中,大多数努力都集中在化合物的滋养体活性上。然而,目前尚无关于化合物对福氏耐格里虫囊体活力影响的报道。在本研究中,使用基于 alamarBlue 的荧光测定法评估了四种不同分子对囊体的杀囊活性。所有测试的化合物对 N. fowleri 的囊体阶段均具有活性。事实上,除两性霉素 B 外,所有分子对囊体阶段的活性均高于滋养体阶段。这项工作可以作为筛选具有杀囊和滋养体活性的分子的有效方案,这些分子可以被考虑用于未来的 PAM 治疗。在寻找新的抗福氏耐格里虫化合物的过程中,大多数工作都集中在不同分子对滋养体阶段的活性上;然而,它们都没有包括这些化合物对囊体活力的影响。本文提出了一种可靠的方法来评估化合物对 N. fowleri 囊体阶段的活性。

https://cdn.ncbi.nlm.nih.gov/pmc/blobs/1b9f/9430148/ead90756f2e8/spectrum.00515-22-f001.jpg

文献AI研究员

20分钟写一篇综述,助力文献阅读效率提升50倍。

立即体验

用中文搜PubMed

大模型驱动的PubMed中文搜索引擎

马上搜索

文档翻译

学术文献翻译模型,支持多种主流文档格式。

立即体验