Suppr超能文献

尿足细胞排泄可预测尿蛋白选择性和肾脏预后。

Urinary Podocyte Excretion Predicts Urinary Protein Selectivity and Renal Prognosis.

作者信息

Abe Makoto, Kaiga Akiko, Ohira Takehiro, Ishimitsu Toshihiko, Tojo Akihiro

机构信息

Department of Nephrology & Hypertension, Dokkyo Medical University, Mibu, Tochigi 321-0293, Japan.

出版信息

Int J Nephrol. 2022 Jun 29;2022:2702651. doi: 10.1155/2022/2702651. eCollection 2022.

Abstract

BACKGROUND

Urinary podocyte excretion is related to a reduction in glomerular podocyte numbers, glomerulosclerosis, and urinary protein selectivity. To elucidate the role of urinary podocytes in proteinuria and renal prognosis and to identify the factors that cause podocyte detachment, we examined urinary podocytes in 120 renal biopsy patients.

METHODS

Podocytes were identified in urinary sediments stained with fluorescent-labeled anti-podocalyxin antibodies in ten high power fields. The amounts of protein bands, separated by SDS-polyacrylamide gel electrophoresis, were calculated using an image software program and the correlation with urinary podocytes was analyzed. Podocyte surface pores were observed using a low-vacuum scanning electron microscope. The renal prognosis, including induction of hemodialysis or 30% reduction in eGFR, was investigated.

RESULTS

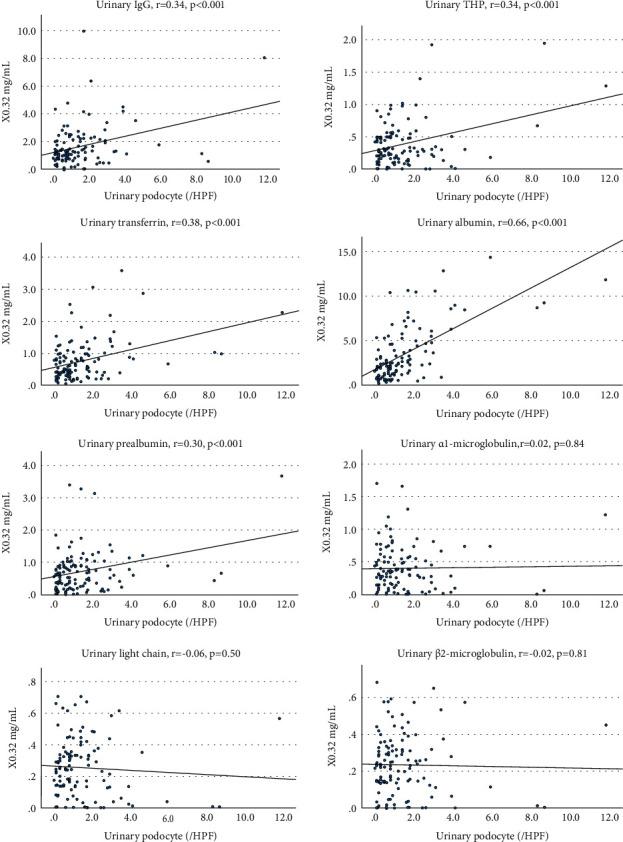
Urinary podocyte excretion showed a higher positive correlation with albumin excretion compared to IgG, prealbumin, and transferrin. There were no significant correlations between urinary podocyte count and low molecular weight proteins, including 2-microglobulin and 1-microglobulin. The number of podocyte surface pores was positively correlated with proteinuria, suggesting enhanced albumin transcytosis. The hemodynamic pressure on the glomerular capillary wall, including products of pulse pressure and pulse rate (water hammer pressure), was positively correlated with urinary podocyte excretion. Urinary podocyte excretion and Tamm-Horsfall protein (THP) were independent risk factors for renal prognosis but were not related to response to treatment.

CONCLUSION

Urinary podocyte excretion was correlated with urinary albumin excretion, indicating specific albumin transport by podocytes. Podocytes were detached from the glomerular capillaries by water hammer pressure and THP was involved in the renal prognosis.

摘要

背景

尿足细胞排泄与肾小球足细胞数量减少、肾小球硬化及尿蛋白选择性有关。为阐明尿足细胞在蛋白尿和肾脏预后中的作用,并确定导致足细胞脱离的因素,我们对120例肾活检患者的尿足细胞进行了检测。

方法

在十个高倍视野中,用荧光标记的抗足细胞裂孔素抗体对尿沉渣进行染色来识别足细胞。通过SDS-聚丙烯酰胺凝胶电泳分离的蛋白条带量,使用图像软件程序进行计算,并分析其与尿足细胞的相关性。使用低真空扫描电子显微镜观察足细胞表面孔隙。研究肾脏预后,包括血液透析的诱导或估算肾小球滤过率(eGFR)降低30%。

结果

与免疫球蛋白G、前白蛋白和转铁蛋白相比,尿足细胞排泄与白蛋白排泄呈现更高的正相关性。尿足细胞计数与包括β2-微球蛋白和α1-微球蛋白在内的低分子量蛋白之间无显著相关性。足细胞表面孔隙数量与蛋白尿呈正相关,提示白蛋白转胞吞作用增强。肾小球毛细血管壁上的血流动力学压力,包括脉压和脉率的乘积(水击压力),与尿足细胞排泄呈正相关。尿足细胞排泄和Tamm-Horsfall蛋白(THP)是肾脏预后的独立危险因素,但与治疗反应无关。

结论

尿足细胞排泄与尿白蛋白排泄相关,表明足细胞存在特异性白蛋白转运。足细胞因水击压力从肾小球毛细血管脱离,且THP参与肾脏预后。

https://cdn.ncbi.nlm.nih.gov/pmc/blobs/8114/9296344/437aecd33965/IJN2022-2702651.001.jpg

文献AI研究员

20分钟写一篇综述,助力文献阅读效率提升50倍。

立即体验

用中文搜PubMed

大模型驱动的PubMed中文搜索引擎

马上搜索

文档翻译

学术文献翻译模型,支持多种主流文档格式。

立即体验