Suppr超能文献

术前循环肿瘤细胞计数与中性粒细胞-淋巴细胞比值联合预测肝癌患者根治性肝切除术后的预后。

Combination of Preoperative Circulating Tumor Cell Count and Neutrophil-Lymphocyte Ratio for Prognostic Prediction in Hepatocellular Carcinoma Patients after Curative Hepatectomy.

机构信息

Department of Hepatobiliary Surgery, Guangxi Medical University Cancer Hospital, Nanning, China.

Key Laboratory of Early Prevention and Treatment for Regional High-Frequency Tumors, Ministry of Education, Nanning, China.

出版信息

Biomed Res Int. 2022 Jul 16;2022:7305953. doi: 10.1155/2022/7305953. eCollection 2022.

Abstract

BACKGROUND

Both the preoperative neutrophil-lymphocyte ratio (NLR) and circulating tumor cell count (CTC) are associated with poor prognosis in hepatocellular carcinoma (HCC). The purpose of this study was to explore the prognostic value of these two indices (CTC-NLR) in HCC.

METHODS

We retrospectively collected demographic and clinical data, including NLR and CTC, from 97 patients with HCC who underwent curative hepatectomy at our institution from March 2014 to May 2017. X-Tile software was used to confirm the optimal cut-off value of NLR and CTC for predicting overall survival (OS) in this study. OS were also analyzed using Kaplan-Meier and Cox regression methods. Based on preoperative CTC and NLR, patients were divided into three groups: CTC-NLR (0), CTC-NLR (1), and CTC-NLR (2). Relationships of CTC-NLR with clinicopathological factors and survival were evaluated.

RESULTS

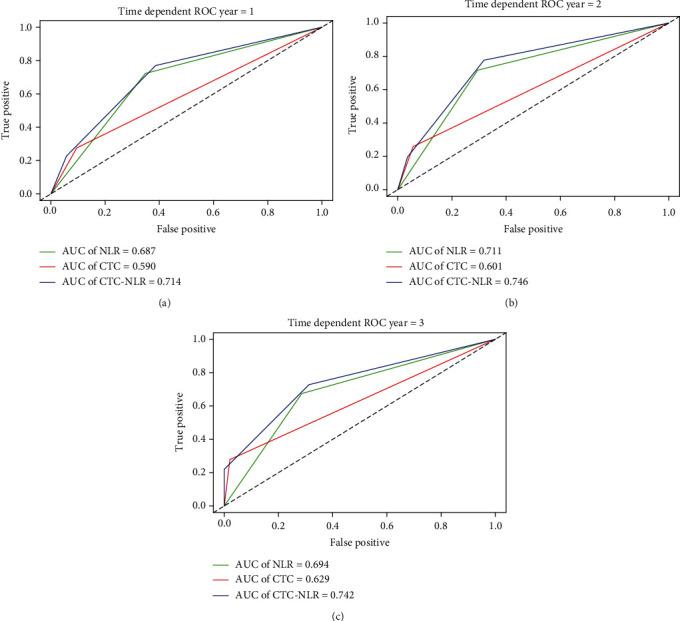
Preoperatively, CTC positively correlated with NLR. Patients with NLR and CTC higher than the cut-offs had shorter OS than patients with low NLR and CTC. Kaplan-Meier analysis, and log-rank tests revealed significantly lower OS among patients with CTC-NLR scores of 0, 1, and 2. Uni- and multivariate analyses showed that CTC-NLR (hazard ratio 2.050, = 0.005), CTC (hazard ratio 2.285, = 0.032), and NLR (hazard ratio 1.902, = 0.048) were independent predictor of OS. A time-dependent ROC curve indicated that the prognostic efficacy of the CTC-NLR at 1 year (0.714) was better than that of NLR (0.687) and CTC (0.590); the prognostic efficacy of the CTC-NLR at 2 years (0.746) was better than that of NLR (0.711) and CTC (0.601); the prognostic efficacy of the CTC-NLR at 3 years (0.742) was better than that of NLR (0.694) and CTC (0.629).

CONCLUSIONS

HCC patients with higher NLR and CTC tend to show shorter OS. Preoperative CTC-NLR may be associated with poor survival and might be a reliable prognostic predictor in HCC after curative hepatectomy.

摘要

背景

术前中性粒细胞与淋巴细胞比值(NLR)和循环肿瘤细胞计数(CTC)均与肝细胞癌(HCC)的预后不良相关。本研究旨在探讨这两个指标(CTC-NLR)在 HCC 中的预后价值。

方法

我们回顾性收集了 97 例在我院接受根治性肝切除术的 HCC 患者的人口统计学和临床数据,包括 NLR 和 CTC。使用 X-Tile 软件确定本研究中预测总生存期(OS)的 NLR 和 CTC 的最佳截断值。还使用 Kaplan-Meier 和 Cox 回归方法分析 OS。根据术前 CTC 和 NLR,将患者分为三组:CTC-NLR(0)、CTC-NLR(1)和 CTC-NLR(2)。评估 CTC-NLR 与临床病理因素和生存的关系。

结果

术前 CTC 与 NLR 呈正相关。NLR 和 CTC 高于截断值的患者 OS 短于 NLR 和 CTC 低的患者。Kaplan-Meier 分析和对数秩检验显示 CTC-NLR 评分 0、1 和 2 的患者 OS 显著降低。单因素和多因素分析显示,CTC-NLR(风险比 2.050, = 0.005)、CTC(风险比 2.285, = 0.032)和 NLR(风险比 1.902, = 0.048)是 OS 的独立预测因子。时间依赖性 ROC 曲线表明,CTC-NLR 在 1 年(0.714)的预后效能优于 NLR(0.687)和 CTC(0.590);在 2 年(0.746)的预后效能优于 NLR(0.711)和 CTC(0.601);在 3 年(0.742)的预后效能优于 NLR(0.694)和 CTC(0.629)。

结论

NLR 和 CTC 较高的 HCC 患者 OS 往往较短。术前 CTC-NLR 可能与不良生存相关,可能是根治性肝切除术后 HCC 的可靠预后预测因子。

https://cdn.ncbi.nlm.nih.gov/pmc/blobs/6314/9308538/a6701959cdb8/BMRI2022-7305953.001.jpg

文献AI研究员

20分钟写一篇综述,助力文献阅读效率提升50倍。

立即体验

用中文搜PubMed

大模型驱动的PubMed中文搜索引擎

马上搜索

文档翻译

学术文献翻译模型,支持多种主流文档格式。

立即体验