Suppr超能文献

轮椅篮球比赛中在热环境与温和环境下的液体平衡和体温调节反应。

Fluid Balance and Thermoregulatory Responses during Wheelchair Basketball Games in Hot vs. Temperate Conditions.

机构信息

Swiss Paraplegic Centre, Sports Medicine, 6207 Nottwil, Switzerland.

Human Physiology and Sports Physiotherapy Research Group, Vrije Universiteit Brussel, 1050 Brussels, Belgium.

出版信息

Nutrients. 2022 Jul 17;14(14):2930. doi: 10.3390/nu14142930.

Abstract

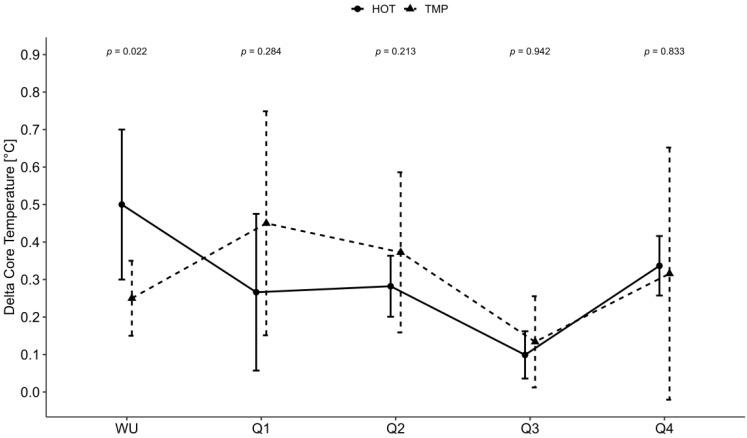
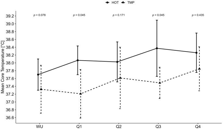
The impaired vaso- and sudomotor functions limit sweat capacity in individuals with a spinal cord injury (SCI) and might increase the risk for heat-related illness and decreased performance, especially in hot conditions (HOT). This study investigated the differences in fluid balance and thermal responses between wheelchair basketball (WCB) games in HOT and temperate conditions (TMP). Eleven male WCB athletes (39.8 y, 82.8 kg) with SCI (lesion level C5-L4) participated, five in HOT (31 °C) and eight in TMP games (21 °C). Fluid balance, sweat rate, body core temperature, distance, velocity and thermal sensation were assessed. The relative change in body mass was higher in the HOT group (median: -0.35%, interquartile-range: 0.15%, = 0.02) compared to TMP (+0.11%, 0.35%) group. The sweat rate was significantly higher in the HOT group (0.93 L/h, 0.58 L/h, = 0.02) compared to the TMP groups (0.48 L/h, 0.19 L/h). Body core temperature increased significantly higher in the TMP group (1.05 °C, 0.15 °C, = 0.01) compared to the HOT group (0.8 °C, 0.4 °C). The mean velocity (HOT: 1.12 m/s, 0.11 m/s, TMP: 1.07 m/s, 0.08 m/s, = 0.54) did not differ between the games. The WCB game in HOT leads to significantly higher sweat rate and loss in body mass compared to TMP. Even relative body mass loss was less than 2%. Athletes thus have to be supported with enough fluid, especially during games in HOT.

摘要

脊髓损伤(SCI)个体的血管和汗管功能受损会限制排汗能力,增加与热相关疾病的风险和运动表现下降,尤其是在炎热环境(HOT)中。本研究调查了在 HOT 和温带条件(TMP)下轮椅篮球(WCB)比赛中液体平衡和热反应的差异。11 名男性 SCI(损伤水平 C5-L4)WCB 运动员参与了研究,其中 5 人在 HOT(31°C)下比赛,8 人在 TMP 比赛(21°C)下比赛。评估了液体平衡、出汗率、核心体温、距离、速度和热感觉。与 TMP 组(+0.11%,0.35%)相比,HOT 组(-0.35%,0.15%,=0.02)的相对体重变化更高。HOT 组的出汗率显著高于 TMP 组(0.93 L/h,0.58 L/h,=0.02)(0.48 L/h,0.19 L/h)。TMP 组的核心体温显著升高(1.05°C,0.15°C,=0.01)(0.8°C,0.4°C)。与 TMP 相比,HOT 组的平均速度(HOT:1.12 m/s,0.11 m/s,TMP:1.07 m/s,0.08 m/s,=0.54)没有差异。与 TMP 相比,HOT 中的 WCB 比赛导致出汗率和体重明显下降。即使相对体重损失小于 2%。因此,运动员必须在 HOT 比赛中得到足够的液体支持,尤其是在比赛中。

https://cdn.ncbi.nlm.nih.gov/pmc/blobs/2932/9319276/f5ddacb0960c/nutrients-14-02930-g001.jpg

文献AI研究员

20分钟写一篇综述,助力文献阅读效率提升50倍。

立即体验

用中文搜PubMed

大模型驱动的PubMed中文搜索引擎

马上搜索

文档翻译

学术文献翻译模型,支持多种主流文档格式。

立即体验