Suppr超能文献

淋巴结浸润对口腔鳞状细胞癌的预后价值。

Prognostic value of lymph node involvement in oral squamous cell carcinoma.

机构信息

Charité - Universitätsmedizin Berlin, corporate member of Freie Universität Berlin and Humboldt-Universität zu Berlin, Department of Oral and Maxillofacial Surgery, Augustenburger Platz 1, 13353, Berlin, Germany.

Berlin Institute of Health (BIH), Anna-Louisa-Karsch-Straße 2, 10178, Berlin, Germany.

出版信息

Clin Oral Investig. 2022 Nov;26(11):6711-6720. doi: 10.1007/s00784-022-04630-7. Epub 2022 Jul 27.

Abstract

OBJECTIVES

Different parameters have been identified in patients with oral squamous cell carcinomas (OSCC) that have a serious impact on survival, including residual tumour and extracapsular spread. Moreover, other factors, including the lymph node ratio (LNR) and lymph node yield (LNY), have been suggested as prognostic markers.

MATERIAL AND METHODS

This retrospective study included patients diagnosed with OSCC and cervical lymph node metastases during the years 2010-2020. Patients' records were evaluated regarding lymph node status, final therapy regime, tumour recurrence, time to death, tumour association with death, disease-free survival (DSF), and overall survival (OS).

RESULTS

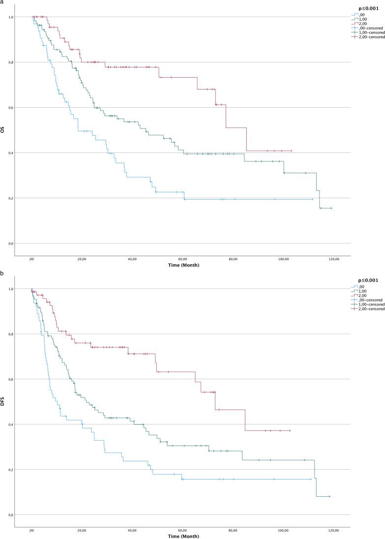
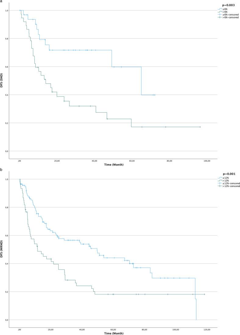
In 242 patients with a mean age of 63.57 ± 11.24 years, treated either by selective neck dissection (SND; n = 70) or by modified radical neck dissection (MRND; n = 172), 5772 lymph nodes were detected. The LNR and LNY were identified as independent risk factors in OS and DFS. The optimal cut-off point for the LNY was ≥ 17 lymph nodes in the SND and ≥ 27 lymph nodes in the MRND group. The metastatic lymph node clearance (MLNC) was established as a score to relate the LNR and LNY to the extent of lymph node removal. Survival analysis showed statistically significant differences among score levels.

CONCLUSIONS

As information about the extent of nodal dissection is excluded from LNR and LNY, we propose the use of a new scoring system comprising individual cut-off values for LNY and LNR with regard to the extent of neck dissection.

CLINICAL RELEVANCE

MLNC might help to identify high-risk OSCC patients with metastatic lymph nodes.

摘要

目的

口腔鳞状细胞癌(OSCC)患者的一些参数对生存有严重影响,包括残余肿瘤和包膜外扩散。此外,其他因素,包括淋巴结比率(LNR)和淋巴结产量(LNY),已被认为是预后标志物。

材料和方法

本回顾性研究纳入了 2010 年至 2020 年期间诊断为 OSCC 和颈部淋巴结转移的患者。评估了患者的淋巴结状态、最终治疗方案、肿瘤复发、死亡时间、肿瘤与死亡的关系、无病生存(DFS)和总生存(OS)。

结果

在 242 名平均年龄为 63.57±11.24 岁的患者中,行选择性颈部清扫术(SND;n=70)或改良根治性颈部清扫术(MRND;n=172),共检出 5772 枚淋巴结。LNR 和 LNY 是 OS 和 DFS 的独立危险因素。SND 中 LNY 的最佳截断值为≥17 枚淋巴结,MRND 组中为≥27 枚淋巴结。转移性淋巴结清除(MLNC)被确立为一种评分系统,将 LNR 和 LNY 与淋巴结清除的程度相关联。生存分析显示各评分水平间有统计学差异。

结论

由于 LNR 和 LNY 中不包括淋巴结清扫范围的信息,我们建议使用一种新的评分系统,该系统包含与颈部清扫范围有关的 LNY 和 LNR 的个体截断值。

临床相关性

MLNC 可能有助于识别有转移性淋巴结的高危 OSCC 患者。

https://cdn.ncbi.nlm.nih.gov/pmc/blobs/9c86/9643253/258040bc48c9/784_2022_4630_Fig1_HTML.jpg

文献AI研究员

20分钟写一篇综述,助力文献阅读效率提升50倍。

立即体验

用中文搜PubMed

大模型驱动的PubMed中文搜索引擎

马上搜索

文档翻译

学术文献翻译模型,支持多种主流文档格式。

立即体验