Suppr超能文献

在临床环境中,5%的变异等位基因频率是慢性淋巴细胞白血病中通过下一代测序检测到的变异的可靠报告阈值。

Five Percent Variant Allele Frequency Is a Reliable Reporting Threshold for Variants Detected by Next Generation Sequencing in Chronic Lymphocytic Leukemia in the Clinical Setting.

作者信息

Pandzic Tatjana, Ladenvall Claes, Engvall Marie, Mattsson Mattias, Hermanson Monica, Cavelier Lucia, Ljungström Viktor, Baliakas Panagiotis

机构信息

Department of Immunology, Genetics and Pathology, Science for Life Laboratory, Uppsala University, Uppsala, Sweden.

Department of Clinical Genetics, Uppsala University Hospital, Uppsala, Sweden.

出版信息

Hemasphere. 2022 Aug 2;6(8):e761. doi: 10.1097/HS9.0000000000000761. eCollection 2022 Aug.

Abstract

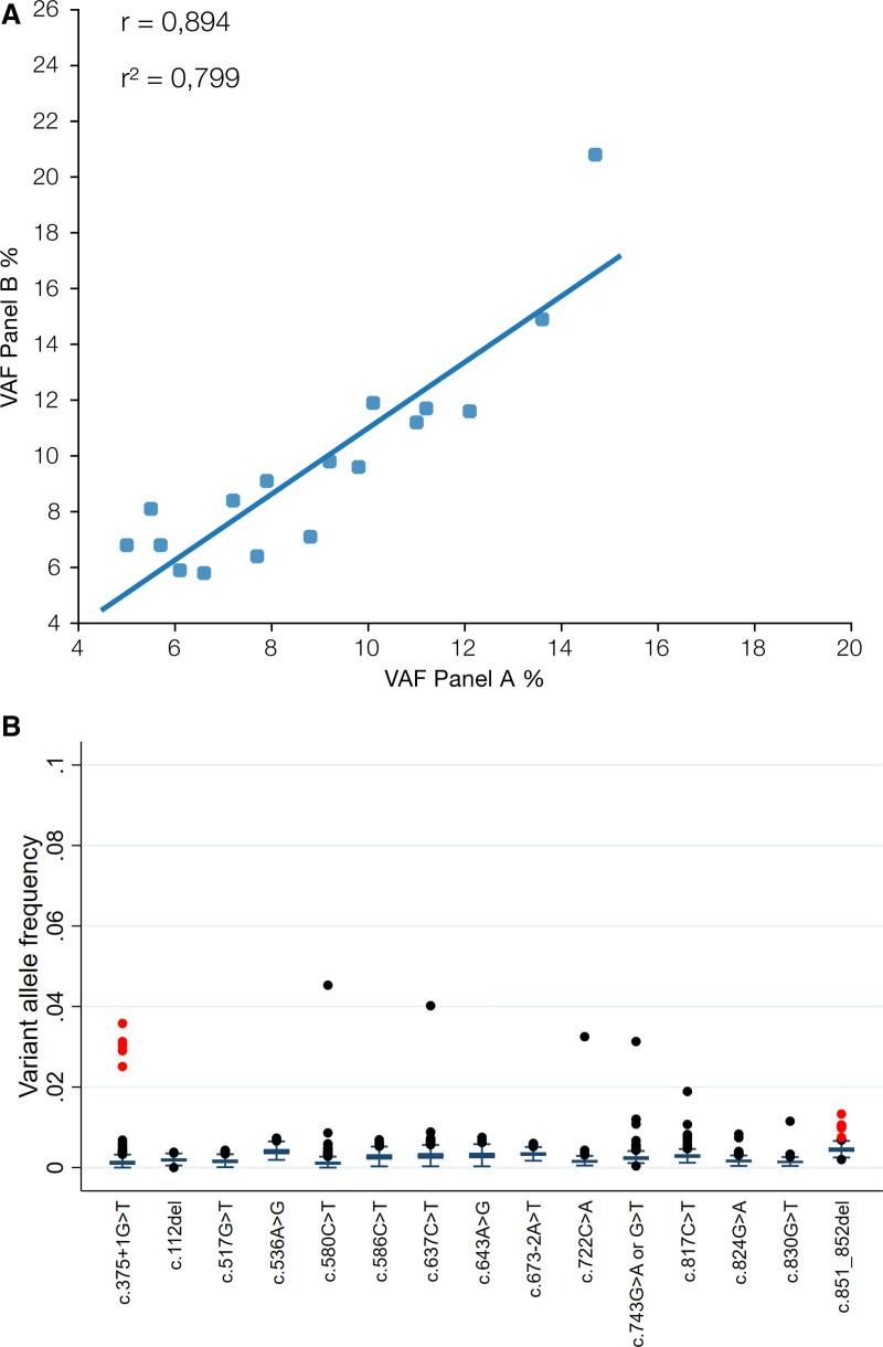
The clinical significance of small clones detected with next generation sequencing (NGS) in chronic lymphocytic leukemia is an issue of active debate. According to the official guidelines, treatment decisions should be guided only by variants with variant allele frequency (VAF) ≥10%. We present data on 325 consecutive patients with chronic lymphocytic leukemia analyzed with NGS. In total 47 pathogenic/likely pathogenic (P/LP), variants were detected in 26 patients (8%). Eleven of these (23%) were in the 5% to 10% VAF range and reported according to our institutional policy. All variants in the 5% to 10% VAF range were confirmed (100% concordance) with a second NGS panel. Our results where further validated with the performance of Sanger sequencing and digital droplet PCR (ddPCR). In 12 patients with available fluorescence in situ hybridization data and mutations within 5% to 10% VAF, deletion of chromosome 17p (del(17p)) was detectable in only 1 patient. We propose a robust diagnostic algorithm, which allows the safe detection and reporting of variants with VAF down to 5% in the clinical setting. Our study provides evidence that NGS is equally potent to detect variants with VAF 5% to 10% compared to those with VAF 10% to 15%, highlighting the urgent need for harmonization of NGS methodologies across diagnostic laboratories.

摘要

通过下一代测序(NGS)在慢性淋巴细胞白血病中检测到的小克隆的临床意义是一个活跃的辩论话题。根据官方指南,治疗决策应仅由变异等位基因频率(VAF)≥10%的变异来指导。我们展示了325例连续的慢性淋巴细胞白血病患者经NGS分析的数据。总共在26例患者(8%)中检测到47个致病/可能致病(P/LP)变异。其中11个(23%)在VAF为5%至10%的范围内,并根据我们机构的政策进行了报告。所有VAF在5%至10%范围内的变异均通过第二个NGS检测板得到确认(100%一致性)。我们的结果通过Sanger测序和数字液滴PCR(ddPCR)的性能进一步得到验证。在12例有可用荧光原位杂交数据且突变在VAF 5%至10%范围内的患者中,仅在1例患者中检测到染色体17p缺失(del(17p))。我们提出了一种强大的诊断算法,该算法能够在临床环境中安全地检测和报告VAF低至5%的变异。我们的研究提供了证据,表明与VAF为10%至15%的变异相比,NGS在检测VAF为5%至10%的变异方面同样有效,突出了跨诊断实验室统一NGS方法的迫切需求。

https://cdn.ncbi.nlm.nih.gov/pmc/blobs/f5d8/9348859/36fb537cf13a/hs9-6-e761-g001.jpg

文献AI研究员

20分钟写一篇综述,助力文献阅读效率提升50倍。

立即体验

用中文搜PubMed

大模型驱动的PubMed中文搜索引擎

马上搜索

文档翻译

学术文献翻译模型,支持多种主流文档格式。

立即体验