Suppr超能文献

血清生物标志物在 PD-1 抑制剂治疗 IV 期非小细胞肺癌中的临床意义:LIPI 评分、NLR、dNLR、LMR 和 PAB。

Clinical Significance of Serum Biomarkers in Stage IV Non-Small-Cell Lung Cancer Treated with PD-1 Inhibitors: LIPI Score, NLR, dNLR, LMR, and PAB.

机构信息

Department of Medical Oncology, The Affiliated Tumor Hospital of Nantong University & Nantong Tumor Hospital, Nantong, China.

Nantong University, Nantong, China.

出版信息

Dis Markers. 2022 Jul 30;2022:7137357. doi: 10.1155/2022/7137357. eCollection 2022.

Abstract

BACKGROUND

To assess the prognostic value of pretreatment serum biomarkers in stage IV non-small-cell lung cancer (NSCLC) patients treated with PD-1 (programmed cell death protein 1) inhibitors and their value as a predictor of benefit.

METHODS

We performed a retrospective study including patients with stage IV NSCLC who were treated with anti-PD-1 drugs in first or advanced lines of therapy in the Affiliated Tumor Hospital of Nantong University. Serum biomarkers such as NLR, dNLR, LMR, PAB, ALB, and LIPI scores were calculated and analyzed in detail.

RESULTS

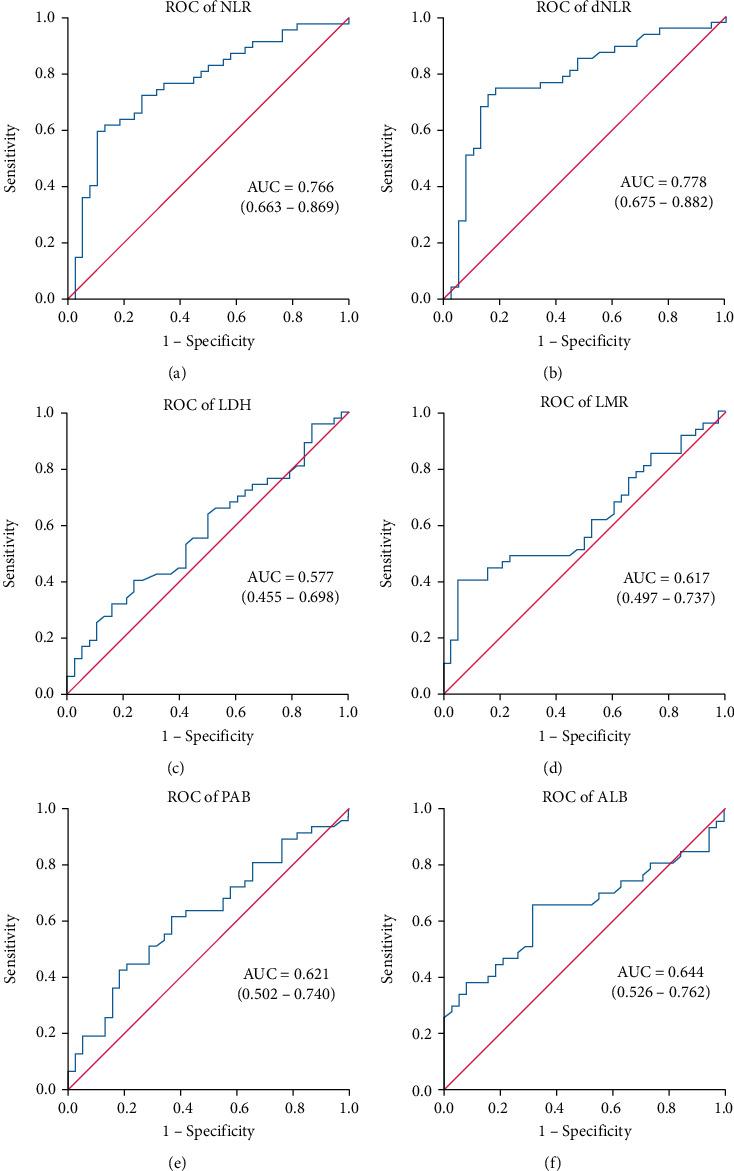
A total of 85 patients with stage IV NSCLC treated with PD-1 inhibitors in the first or advanced lines of therapy were included in this subject. According to the tumor response of PD-1-based treatment, ORR was 42.4% (36/85) and DCR was 68.2% (58/85). The median OS and PFS were 20.0 months and 7.0 months, respectively. The ROC curves showed that the serum biomarkers of NLR, dNLR, LDH, LMR, PAB, and ALB were significantly associated with overall survival and helped to determine the cut-off value. The multivariate Cox proportional hazard analyses for stage IV NSCLC patients treated with PD-1 inhibitors indicated that dNLR ( < 0.001) and ALB ( = 0.033) were independent prognostic indicators of PFS, while liver metastasis ( = 0.01), NLR ( = 0.01), dNLR ( = 0.001), and LMR ( = 0.006) were independent prognostic indicators of OS. Moreover, patients of the good LIPI group showed prolonged PFS and OS than those with intermediate/poor LIPI score ( < 0.001 and = 0.006, respectively).

CONCLUSIONS

Pretreatment dNLR is an independent prognostic indicator of both PFS and OS in stage IV NSCLC patients treated with PD-1 inhibitors. Pretreatment LIPI, combining dNLR > 3 and LDH>ULN, was correlated with worse outcome for stage IV NSCLC patients treated with ICI. High NLR, high dNLR, low LMR, and low ALB at baseline might be useful as an early predictive biomarker of benefit.

摘要

背景

评估 PD-1(程序性细胞死亡蛋白 1)抑制剂治疗的 IV 期非小细胞肺癌(NSCLC)患者的预处理血清生物标志物的预后价值及其作为获益预测因子的价值。

方法

我们进行了一项回顾性研究,纳入了在南通大学附属医院接受抗 PD-1 药物治疗的 I 线或晚期治疗的 IV 期 NSCLC 患者。详细计算和分析了 NLR、dNLR、LMR、PAB、ALB 和 LIPI 评分等血清生物标志物。

结果

共纳入 85 例接受 PD-1 抑制剂治疗的 I 线或晚期治疗的 IV 期 NSCLC 患者。根据 PD-1 为基础治疗的肿瘤反应,ORR 为 42.4%(36/85),DCR 为 68.2%(58/85)。中位 OS 和 PFS 分别为 20.0 个月和 7.0 个月。ROC 曲线显示,NLR、dNLR、LDH、LMR、PAB 和 ALB 等血清生物标志物与总生存期显著相关,并有助于确定截断值。多因素 Cox 比例风险分析表明,dNLR(<0.001)和 ALB(=0.033)是 PD-1 抑制剂治疗的 IV 期 NSCLC 患者的独立预后指标,而肝转移(=0.01)、NLR(=0.01)、dNLR(=0.001)和 LMR(=0.006)是 OS 的独立预后指标。此外,LIPI 评分良好的患者的 PFS 和 OS 均长于中间/不良 LIPI 评分的患者(分别为<0.001 和=0.006)。

结论

治疗前 dNLR 是 PD-1 抑制剂治疗的 IV 期 NSCLC 患者 PFS 和 OS 的独立预后指标。治疗前 LIPI,结合 dNLR>3 和 LDH>ULN,与接受 ICI 治疗的 IV 期 NSCLC 患者的不良预后相关。基线时 NLR 高、dNLR 高、LMR 低和 ALB 低可能是预测获益的有用早期生物标志物。

https://cdn.ncbi.nlm.nih.gov/pmc/blobs/7963/9357262/914de762636f/DM2022-7137357.001.jpg

文献AI研究员

20分钟写一篇综述,助力文献阅读效率提升50倍。

立即体验

用中文搜PubMed

大模型驱动的PubMed中文搜索引擎

马上搜索

文档翻译

学术文献翻译模型,支持多种主流文档格式。

立即体验