Suppr超能文献

Sutimlimab 改善冷凝集素病患者的生活质量:来自 CARDINAL 研究的患者报告结局结果。

Sutimlimab improves quality of life in patients with cold agglutinin disease: results of patient-reported outcomes from the CARDINAL study.

机构信息

Department of Hematology and Stem Cell Transplantation, West German Cancer Center, University Hospital Essen, University of Duisburg-Essen, Essen, Germany.

Fondazione IRCCS Ca' Granda Ospedale Maggiore Policlinico, Milan, Italy.

出版信息

Ann Hematol. 2022 Oct;101(10):2169-2177. doi: 10.1007/s00277-022-04948-y. Epub 2022 Aug 23.

Abstract

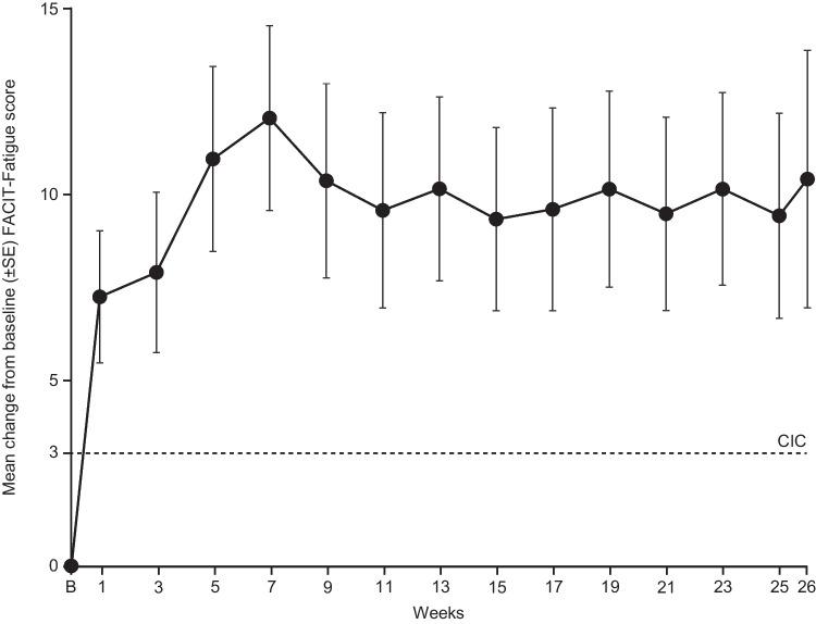
Patients with cold agglutinin disease (CAD) experience fatigue and poor quality of life. However, previous CAD-related studies have not explored patient-reported outcomes such as the Functional Assessment of Chronic Illness Therapy (FACIT)-Fatigue. Sutimlimab, a C1s complement inhibitor, has been shown to halt haemolysis in CAD. Here, we present 26-weeks' patient-reported data from CARDINAL Part A (ClinicalTrials.gov, NCT03347396), which assessed efficacy and safety of sutimlimab in patients with CAD and recent history of transfusion. Aside from measuring changes in haemolytic markers, FACIT-Fatigue was measured at the treatment assessment timepoint (TAT; average of weeks 23, 25, and 26). Exploratory endpoints included the change in EuroQol 5-dimension 5-level questionnaire (EQ-5D-5L) and the 12-Item Short Form Health Survey (SF-12) at TAT, and Patient Global Impression of Change (PGIC), and Patient Global Impression of (fatigue) Severity (PGIS) at week 26. Mean (range) FACIT-Fatigue scores increased from 32.5 (14.0-47.0) at baseline (a score indicative of severe fatigue) to 44.3 (28.0-51.0) at TAT. Considerable improvements were reported for EQ-5D-5L at TAT, SF-12 scores at TAT, and PGIC and PGIS scores at week 26. Sutimlimab treatment resulted in sustained improvements in symptoms of fatigue and overall quality of life in patients with CAD. NCT03347396. Registered 20 November, 2017.

摘要

冷抗体自身免疫性疾病(CAD)患者会感到疲劳,生活质量较差。然而,之前的 CAD 相关研究并未探讨患者报告的结果,如慢性病治疗功能评估(FACIT)-疲劳量表。C1s 补体抑制剂 sutimlimab 已被证明可阻止 CAD 中的溶血。在这里,我们展示了 CARDINAL 部分 A(ClinicalTrials.gov,NCT03347396)的 26 周患者报告数据,该研究评估了 sutimlimab 在 CAD 患者和近期输血史患者中的疗效和安全性。除了测量溶血标志物的变化外,还在治疗评估时间点(TAT;第 23、25 和 26 周的平均值)测量 FACIT-Fatigue。探索性终点包括 TAT 时 EQ-5D-5L 和 12 项简短健康调查(SF-12)的变化,以及第 26 周的患者总体变化印象(PGIC)和患者总体疲劳严重程度印象(PGIS)。基线时(严重疲劳的得分)FACIT-Fatigue 平均(范围)评分从 32.5(14.0-47.0)增加到 TAT 时的 44.3(28.0-51.0)。TAT 时报告了 EQ-5D-5L 的显著改善,TAT 时的 SF-12 评分,以及第 26 周的 PGIC 和 PGIS 评分。Sutimlimab 治疗可使 CAD 患者的疲劳症状和整体生活质量持续改善。NCT03347396。于 2017 年 11 月 20 日注册。

https://cdn.ncbi.nlm.nih.gov/pmc/blobs/6f13/9463238/afb9e11077e1/277_2022_4948_Fig1_HTML.jpg

文献AI研究员

20分钟写一篇综述,助力文献阅读效率提升50倍。

立即体验

用中文搜PubMed

大模型驱动的PubMed中文搜索引擎

马上搜索

文档翻译

学术文献翻译模型,支持多种主流文档格式。

立即体验