Suppr超能文献

颅内动脉瘤性蛛网膜下腔出血后长期疲劳及其对就业的影响。

Long-term fatigue following aneurysmal subarachnoid haemorrhage and the impact on employment.

机构信息

Clinical Neurosciences, Clinical and Experimental Sciences, Faculty of Medicine, University of Southampton, Southampton, UK.

Department of Neurosurgery, Wessex Neurological Centre, University Hospital Southampton NHS Foundation Trust, Southampton, UK.

出版信息

Eur J Neurol. 2022 Dec;29(12):3564-3570. doi: 10.1111/ene.15533. Epub 2022 Sep 12.

Abstract

BACKGROUND AND PURPOSE

Fatigue is common following aneurysmal subarachnoid haemorrhage (aSAH) but little is known about its frequency, prognosis and impact on employment. The aim of this study was to assess the frequency of fatigue, whether it changes over time and the relationship to employment in the long term.

METHODS

This was a retrospective observational study of aSAH cases and matched controls from the UK Biobank. The presence of fatigue was compared between cases and controls using the chi-squared test. The change in frequency over time was assessed using Spearman's rank correlation coefficient. The effect of fatigue on employment was assessed using mediation analysis.

RESULTS

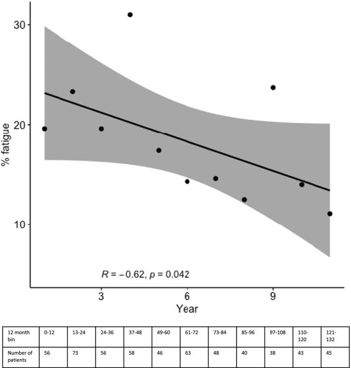
Fatigue is more common following aSAH compared to matched controls (aSAH 18.7%; controls 13.7%; χ  = 13.0, p < 0.001) at a mean follow-up of 123 months. Fatigue gradually improves over time with significant fatigue decreasing by 50% from ~20% in the first year to ~10% after a decade (p = 0.04). Fatigue significantly mediated 24.0% of the effect of aSAH status on employment.

CONCLUSIONS

Fatigue is common following aSAH and persists in the long term. It gradually improves over time but has a major impact on aSAH survivors, significantly contributing to unemployment following haemorrhage. Further work is required to develop treatments and management strategies for fatigue with a view to improving this symptom and consequently employment following aSAH.

摘要

背景与目的

蛛网膜下腔出血(aSAH)后常出现疲劳,但对其频率、预后及其对就业的影响知之甚少。本研究旨在评估疲劳的频率,是否随时间变化,以及与长期就业的关系。

方法

这是一项来自英国生物库的 aSAH 病例和匹配对照的回顾性观察性研究。使用卡方检验比较病例和对照组之间疲劳的存在。使用 Spearman 秩相关系数评估频率随时间的变化。使用中介分析评估疲劳对就业的影响。

结果

与匹配对照组相比(aSAH 为 18.7%;对照组为 13.7%;χ²=13.0,p<0.001),aSAH 后疲劳更为常见,平均随访时间为 123 个月。随着时间的推移,疲劳逐渐改善,有显著疲劳的患者比例从第一年的约 20%显著下降到十年后的约 10%(p=0.04)。疲劳显著介导了 aSAH 状态对就业的 24.0%的影响。

结论

aSAH 后疲劳很常见,且长期存在。随着时间的推移,它逐渐改善,但对 aSAH 幸存者有重大影响,显著导致出血后失业。需要进一步研究开发疲劳的治疗和管理策略,以改善这种症状,并因此改善 aSAH 后的就业。

https://cdn.ncbi.nlm.nih.gov/pmc/blobs/d513/9825863/0e2d6abe3fa2/ENE-29-3564-g002.jpg

文献AI研究员

20分钟写一篇综述,助力文献阅读效率提升50倍。

立即体验

用中文搜PubMed

大模型驱动的PubMed中文搜索引擎

马上搜索

文档翻译

学术文献翻译模型,支持多种主流文档格式。

立即体验