Suppr超能文献

开发一种适用于口服和浸泡的抗锦鲤疱疹病毒病(KHVD)减毒疫苗。

Development of an attenuated vaccine against Koi Herpesvirus Disease (KHVD) suitable for oral administration and immersion.

作者信息

Klafack Sandro, Schröder Lars, Jin Yeonhwa, Lenk Matthias, Lee Pei-Yu, Fuchs Walter, Avarre Jean-Christophe, Bergmann Sven M

机构信息

Friedrich-Loeffler-Institut, Federal Research Institute for Animal Health, Institute of Infectology, Greifswald, Germany.

Friedrich-Loeffler-Institut, Federal Research Institute for Animal Health, Institute of Molecular Virology and Cell Biology, Greifswald, Germany.

出版信息

NPJ Vaccines. 2022 Sep 6;7(1):106. doi: 10.1038/s41541-022-00525-6.

Abstract

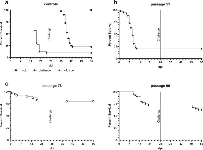
Since the end of the1990ies, Cyprinid herpesvirus 3 (also known as koi herpesvirus, KHV) has caused mass mortality events of koi and common carp all over the globe. This induced a high economic impact, since the KHV disease cannot be cured up to now, but only prevented by vaccination. Unfortunately, there is only one commercial vaccine available which is not approved in most countries. Therefore, there is an urgent need for new, safe and available vaccines. In this study, a live attenuated vaccine virus was generated by cell culture passages of virulent KHV, and shown to protect carp or koi after immersion or oral application against wild type challenge. An advantage of boost immunization was demonstrated, especially after oral application. Vaccination induced no or mild clinical signs and protecting antibodies have been measured. Additionally, the vaccine virus allowed differentiation of infected from vaccinated animals (DIVA) by PCR. The attenuation of the newly generated vaccine was tracked down to a partial deletion of open reading frame 150. This was confirmed by the generation of engineered ORF150 deletion mutants of wild-type KHV which exhibited a similar attenuation in vivo.

摘要

自20世纪90年代末以来,鲤疱疹病毒3型(也称为锦鲤疱疹病毒,KHV)在全球范围内引发了锦鲤和鲤鱼的大规模死亡事件。这造成了巨大的经济影响,因为至今KHV疾病仍无法治愈,只能通过接种疫苗来预防。不幸的是,目前只有一种商业疫苗,且在大多数国家未获批准。因此,迫切需要新的、安全且可用的疫苗。在本研究中,通过对强毒KHV进行细胞传代培养产生了一种减毒活疫苗病毒,经浸泡或口服接种后,该疫苗对鲤鱼或锦鲤具有保护作用,可抵抗野生型病毒的攻击。研究证明了加强免疫的优势,尤其是口服接种后。接种疫苗未引发或仅引发轻微的临床症状,且检测到了保护性抗体。此外,疫苗病毒可通过PCR区分感染动物和接种疫苗的动物(DIVA)。新产生的疫苗的减毒归因于开放阅读框150的部分缺失。通过构建野生型KHV的工程化ORF150缺失突变体并在体内表现出类似的减毒效果,这一点得到了证实。

https://cdn.ncbi.nlm.nih.gov/pmc/blobs/57ac/9448810/ee6de2ef4cb7/41541_2022_525_Fig1_HTML.jpg

文献AI研究员

20分钟写一篇综述,助力文献阅读效率提升50倍。

立即体验

用中文搜PubMed

大模型驱动的PubMed中文搜索引擎

马上搜索

文档翻译

学术文献翻译模型,支持多种主流文档格式。

立即体验