Suppr超能文献

氨肽酶 N 抑制剂作为克服抗肿瘤治疗耐药性的靶点。

Aminopeptidase N Inhibitors as Pointers for Overcoming Antitumor Treatment Resistance.

机构信息

Department of Chemical Drugs, Faculty of Pharmacy, Masaryk University, Palackého 1946/1, 612 00 Brno, Czech Republic.

Department of Pharmacology and Toxicology, Faculty of Pharmacy, Masaryk University, Palackého 1946/1, 612 00 Brno, Czech Republic.

出版信息

Int J Mol Sci. 2022 Aug 29;23(17):9813. doi: 10.3390/ijms23179813.

Abstract

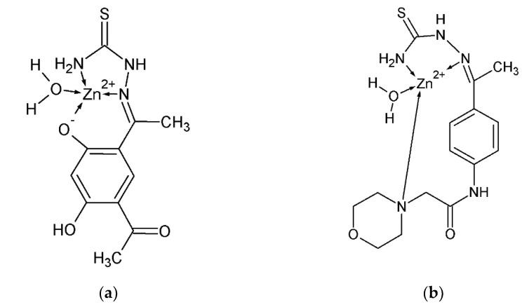
Aminopeptidase N (APN), also known as CD13 antigen or membrane alanyl aminopeptidase, belongs to the M1 family of the MA clan of zinc metallopeptidases. In cancer cells, the inhibition of aminopeptidases including APN causes the phenomenon termed the amino acid deprivation response (AADR), a stress response characterized by the upregulation of amino acid transporters and synthetic enzymes and activation of stress-related pathways such as nuclear factor kB (NFkB) and other pro-apoptotic regulators, which leads to cancer cell death by apoptosis. Recently, APN inhibition has been shown to augment DR4-induced tumor cell death and thus overcome resistance to cancer treatment with DR4-ligand TRAIL, which is available as a recombinant soluble form dulanermin. This implies that APN inhibitors could serve as potential weapons for overcoming cancer treatment resistance. In this study, a series of basically substituted acetamidophenones and the semicarbazones and thiosemicarbazones derived from them were prepared, for which APN inhibitory activity was determined. In addition, a selective anti-proliferative activity against cancer cells expressing APN was demonstrated. Our semicarbazones and thiosemicarbazones are the first compounds of these structural types of Schiff bases that were reported to inhibit not only a zinc-dependent aminopeptidase of the M1 family but also a metalloenzyme.

摘要

天冬氨酰蛋白酶 N(APN),也称为 CD13 抗原或膜丙氨酰氨基肽酶,属于锌金属肽酶 M1 家族的 MA 族。在癌细胞中,包括 APN 在内的氨基肽酶的抑制会导致所谓的氨基酸剥夺反应(AADR)现象,这是一种应激反应,其特征是氨基酸转运体和合成酶的上调以及应激相关途径(如核因子 kB(NFkB)和其他促凋亡调节剂)的激活,从而通过细胞凋亡导致癌细胞死亡。最近,已经表明 APN 抑制可以增强 DR4 诱导的肿瘤细胞死亡,从而克服与 DR4 配体 TRAIL 相关的癌症治疗耐药性,TRAIL 可用作重组可溶性形式的 dulanermin。这意味着 APN 抑制剂可以作为克服癌症治疗耐药性的潜在武器。在这项研究中,制备了一系列基本取代的乙酰氨基酚和由此衍生的半卡巴腙和硫代半卡巴腙,并测定了它们对 APN 的抑制活性。此外,还证明了它们对表达 APN 的癌细胞具有选择性的抗增殖活性。我们的半卡巴腙和硫代半卡巴腙是这些结构类型的希夫碱的第一批化合物,它们不仅报道了抑制锌依赖性 M1 家族的氨基肽酶,还报道了抑制金属酶。

https://cdn.ncbi.nlm.nih.gov/pmc/blobs/ff83/9456425/c578567b7e90/ijms-23-09813-g001.jpg

文献AI研究员

20分钟写一篇综述,助力文献阅读效率提升50倍。

立即体验

用中文搜PubMed

大模型驱动的PubMed中文搜索引擎

马上搜索

文档翻译

学术文献翻译模型,支持多种主流文档格式。

立即体验