Suppr超能文献

油菜素甾醇补充通过减少铬的转运来减轻大豆中的铬毒性。

Brassinosteroid Supplementation Alleviates Chromium Toxicity in Soybean ( L.) via Reducing Its Translocation.

作者信息

Basit Farwa, Bhat Javaid Akhter, Hu Jin, Kaushik Prashant, Ahmad Ajaz, Guan Yajing, Ahmad Parvaiz

机构信息

The Advanced Seed Institute, College of Agriculture and Biotechnology, Zhejiang University, Hangzhou 310058, China.

International Genome Center, Jiangsu University, Zhenjiang 212013, China.

出版信息

Plants (Basel). 2022 Sep 1;11(17):2292. doi: 10.3390/plants11172292.

Abstract

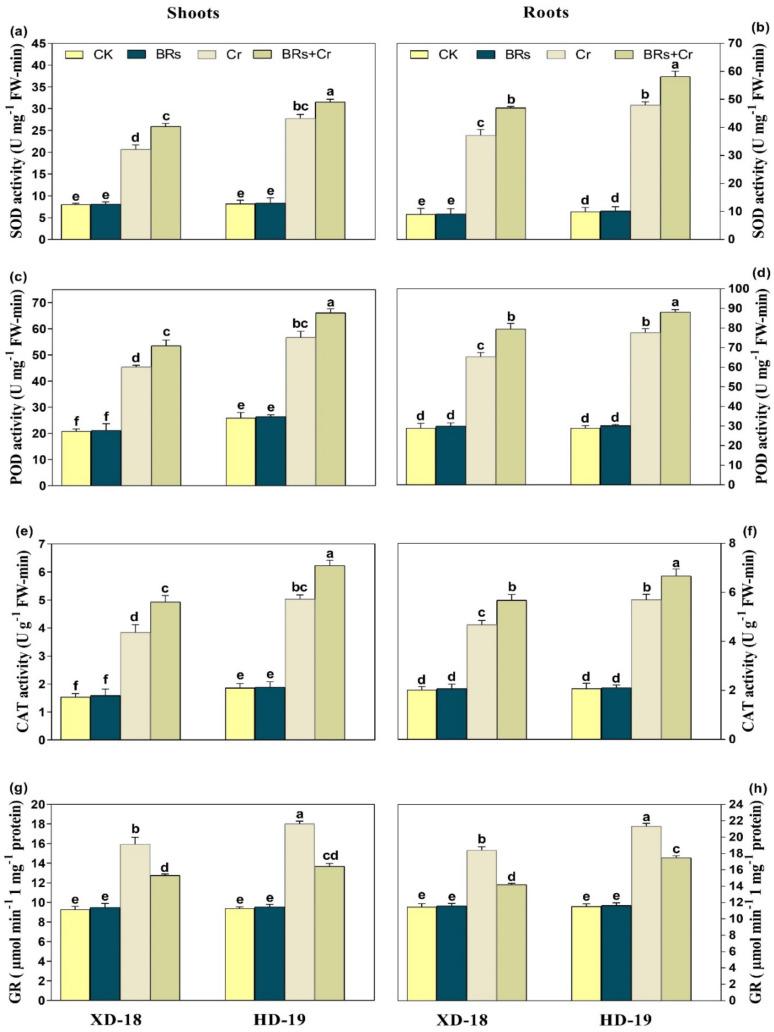
Chromium (Cr) phytotoxicity severely inhibits plant growth and development which makes it a prerequisite to developing techniques that prevent Cr accumulation in food chains. However, little is explored related to the protective role of brassinosteroids (BRs) against Cr-induced stress in soybean plants. Herein, the morpho-physiological, biochemical, and molecular responses of soybean cultivars with/without foliar application of BRs under Cr toxicity were intensely investigated. Our outcomes deliberated that BRs application noticeably reduced Cr-induced phytotoxicity by lowering Cr uptake (37.7/43.63%), accumulation (63.92/81.73%), and translocation (26.23/38.14%) in XD-18/HD-19, plant tissues, respectively; besides, improved seed germination ratio, photosynthetic attributes, plant growth, and biomass, as well as prevented nutrient uptake inhibition under Cr stress, especially in HD-19 cultivar. Furthermore, BRs stimulated antioxidative defense systems, both enzymatic and non-enzymatic, the compartmentalization of ion chelation, diminished extra production of reactive oxygen species (ROS), and electrolyte leakage in response to Cr-induced toxicity, specifically in HD-19. In addition, BRs improved Cr stress tolerance in soybean seedlings by regulating the expression of stress-related genes involved in Cr accumulation, and translocation. Inclusively, by considering the above-mentioned biomarkers, foliar spray of BRs might be considered an effective inhibitor of Cr-induced damages in soybean cultivars, even in Cr polluted soil.

摘要

铬(Cr)的植物毒性严重抑制植物生长发育,这使得开发防止铬在食物链中积累的技术成为必要。然而,关于油菜素类固醇(BRs)对大豆植株铬诱导胁迫的保护作用的研究很少。在此,深入研究了在铬毒性条件下,叶面喷施或未喷施BRs的大豆品种的形态生理、生化和分子反应。我们的研究结果表明,喷施BRs可显著降低铬诱导的植物毒性,分别降低XD - 18/HD - 19植物组织中铬的吸收(37.7/43.63%)、积累(63.92/81.73%)和转运(26.23/38.14%);此外,提高种子发芽率、光合特性、植物生长和生物量,并防止铬胁迫下养分吸收受到抑制,尤其是在HD - 19品种中。此外,BRs刺激了抗氧化防御系统,包括酶促和非酶促系统、离子螯合的区室化,减少了活性氧(ROS)的额外产生以及铬诱导毒性引起的电解质渗漏,特别是在HD - 19中。此外,BRs通过调节与铬积累和转运相关的胁迫相关基因的表达,提高了大豆幼苗对铬胁迫的耐受性。总之,考虑到上述生物标志物,叶面喷施BRs可能被认为是大豆品种中铬诱导损伤的有效抑制剂,即使在铬污染土壤中也是如此。

https://cdn.ncbi.nlm.nih.gov/pmc/blobs/cc53/9460071/faa187a8a464/plants-11-02292-g001.jpg

文献AI研究员

20分钟写一篇综述,助力文献阅读效率提升50倍。

立即体验

用中文搜PubMed

大模型驱动的PubMed中文搜索引擎

马上搜索

文档翻译

学术文献翻译模型,支持多种主流文档格式。

立即体验