Suppr超能文献

纳米姜黄素改善磷化铝诱导毒性的脂质状态、氧化应激和肝脏功能:细胞和分子机制。

Nanocurcumin Improves Lipid Status, Oxidative Stress, and Function of the Liver in Aluminium Phosphide-Induced Toxicity: Cellular and Molecular Mechanisms.

机构信息

Medicinal Plants and Natural Products Research Center, Hamadan University of Medical Sciences, Hamadan, Iran.

Research Center for Biochemistry and Nutrition in Metabolic Diseases, Kashan University of Medical Sciences, Kashan, Iran.

出版信息

Biomed Res Int. 2022 Sep 12;2022:7659765. doi: 10.1155/2022/7659765. eCollection 2022.

Abstract

BACKGROUND

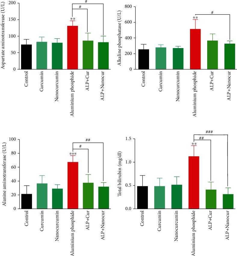
The present study aimed to evaluate the effect of nanocurcumin and curcumin on liver transaminases, lipid profile, oxidant and antioxidant system, and pathophysiological changes in aluminium phosphide (ALP) induced hepatoxicity. . In this experimental study, thirty-six male Wistar rats were randomly divided into six groups curcumin (Cur), nanocurcumin (Nanocur), ALP, ALP+Cur, and ALP+Nanocur. All treatments were performed by oral gavage for seven days. After treatment, animals were sacrificed, and liver and blood samples were taken. Serum levels of aspartate aminotransferase (AST), alanine transaminase (ALT), alkaline phosphatase (AP), total bilirubin, cholesterol, triglyceride, high-density lipoprotein (HDL), low-density lipoprotein (LDL), and very-low-density lipoprotein (VLDL) were measured by photometric methods. Total antioxidant capacity (TAC) and malondialdehyde (MDA) as parameters of oxidative stress and mRNA expression of the nonenzyme protein including Sirtuin 1 (STR1), Forkhead box protein O1 (FOXO1) and protein O3 (FOXO3), catalase (CAT), and glutathione peroxidase (GPX) as the enzyme protein in homogenized tissues have been investigated. A histologist analyzed liver tissue sections after staining with hematoxylin-eosin.

RESULTS

In the aluminium phosphide group, there was a significant increase in MDA, ALT, AST, and AP and total bilirubin, cholesterol, triglyceride, LDL, and VLDL; AST, ALT, total bilirubin, LDL, VLDL, cholesterol, and MDA were significantly decreased; and HDL and TAC were significantly increased compared to ALP ( < 0.05). In the ALP+Nanocur group, ALT, AST, ALP, total bilirubin, cholesterol, LDL, VLDL, triglyceride, and MDA were significantly decreased and HDL and TAC were increased significantly ( < 0.05). The effect of nanocurcumin on controlling serum levels of LDL, VLDL, triglyceride, and MDA in ALP-poisoned rats was significantly more than curcumin ( < 0.05). The ALP group had significant changes in genes , , , , and compared to healthy controls ( < 0.05). Nanocurcumin mice expressed more , , , and genes than controls, and curcumin-treated mice expressed more and genes ( < 0.05). Histopathological findings also indicated a more significant protective effect of nanocurcumin relative to curcumin against ALP-induced hepatotoxicity.

CONCLUSION

Nanocurcumin significantly protects the liver against aluminum phosphide toxicity. It is suggested that nanocurcumin-based drugs be developed to reduce the toxic effects of ALP in poisoned patients.

摘要

背景

本研究旨在评估纳米姜黄素和姜黄素对磷化铝诱导肝毒性的肝转氨酶、血脂谱、氧化应激和抗氧化系统以及病理生理变化的影响。

在这项实验研究中,将 36 只雄性 Wistar 大鼠随机分为六组:姜黄素(Cur)、纳米姜黄素(Nanocur)、磷化铝(ALP)、ALP+Cur 和 ALP+Nanocur。所有治疗均通过口服灌胃进行七天。治疗后,处死动物并采集肝脏和血液样本。通过分光光度法测量血清中天冬氨酸转氨酶(AST)、丙氨酸转氨酶(ALT)、碱性磷酸酶(AP)、总胆红素、胆固醇、甘油三酯、高密度脂蛋白(HDL)、低密度脂蛋白(LDL)和极低密度脂蛋白(VLDL)的水平。总抗氧化能力(TAC)和丙二醛(MDA)作为氧化应激参数,以及非酶蛋白包括 Sirtuin 1(STR1)、叉头框蛋白 O1(FOXO1)和蛋白 O3(FOXO3)、过氧化氢酶(CAT)和谷胱甘肽过氧化物酶(GPX)的 mRNA 表达作为匀浆组织中的酶蛋白进行了研究。组织学分析了经苏木精-伊红染色的肝组织切片。

结果

在磷化铝组中,MDA、ALT、AST 和 AP 以及总胆红素、胆固醇、甘油三酯、LDL 和 VLDL 显著增加;AST、ALT、总胆红素、LDL、VLDL、胆固醇和 MDA 显著降低;与 ALP 相比,HDL 和 TAC 显著增加(<0.05)。在 ALP+Nanocur 组中,ALT、AST、ALP、总胆红素、胆固醇、LDL、VLDL、甘油三酯和 MDA 显著降低,HDL 和 TAC 显著增加(<0.05)。与姜黄素相比,纳米姜黄素对控制磷化铝中毒大鼠血清 LDL、VLDL、甘油三酯和 MDA 水平的作用更为显著(<0.05)。与健康对照组相比,ALP 组的基因、、、和表达发生了显著变化(<0.05)。与对照组相比,纳米姜黄素组的基因、、和表达增加,而姜黄素处理组的基因和表达增加(<0.05)。组织病理学检查结果也表明,纳米姜黄素对磷化铝诱导的肝毒性的保护作用明显优于姜黄素。

结论

纳米姜黄素可显著保护肝脏免受磷化铝毒性的影响。建议开发基于纳米姜黄素的药物,以减少中毒患者中 ALP 的毒性作用。

https://cdn.ncbi.nlm.nih.gov/pmc/blobs/3f13/9484886/9551c6d2b9a1/BMRI2022-7659765.001.jpg

文献AI研究员

20分钟写一篇综述,助力文献阅读效率提升50倍。

立即体验

用中文搜PubMed

大模型驱动的PubMed中文搜索引擎

马上搜索

文档翻译

学术文献翻译模型,支持多种主流文档格式。

立即体验