Suppr超能文献

全身炎症标志物、预后营养指数及测量的血管直径在动静脉内瘘成熟失败中的预测价值

The Predictive Value of Systemic Inflammatory Markers, the Prognostic Nutritional Index, and Measured Vessels' Diameters in Arteriovenous Fistula Maturation Failure.

作者信息

Kaller Réka, Arbănași Emil Marian, Mureșan Adrian Vasile, Voidăzan Septimiu, Arbănași Eliza Mihaela, Horváth Emőke, Suciu Bogdan Andrei, Hosu Ioan, Halmaciu Ioana, Brinzaniuc Klara, Russu Eliza

机构信息

Clinic of Vascular Surgery, Mureș County Emergency Hospital, 540136 Târgu-Mureș, Romania.

Doctoral School of Medicine and Pharmacy, University of Medicine, Pharmacy, Science and Technology "George Emil Palade" of Târgu-Mureș, 540139 Târgu-Mureș, Romania.

出版信息

Life (Basel). 2022 Sep 18;12(9):1447. doi: 10.3390/life12091447.

Abstract

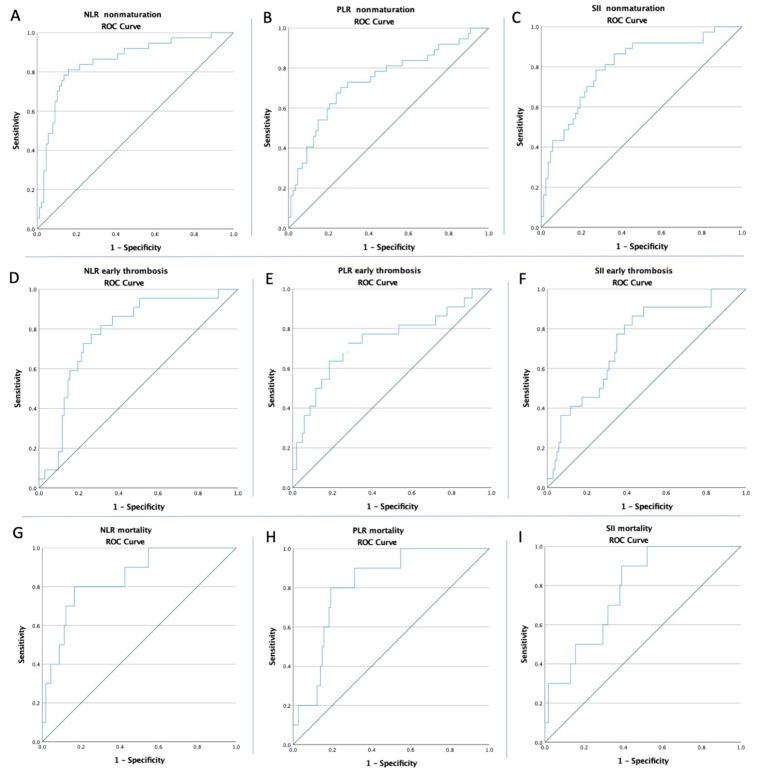
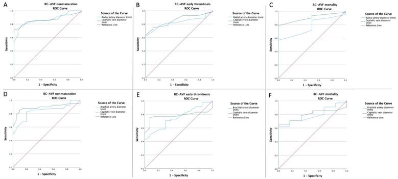
Background: An arteriovenous fistula (AVF) is the first-line vascular access pathway for patients diagnosed with end-stage renal disease (ESRD). In planning vascular access, it is necessary to check the diameters of the venous and arterial components for satisfactory long-term results. Furthermore, the mechanism underlying the maturation failure and short-term patency in cases of AVFs is not fully known. This study aims to verify the predictive role of inflammatory biomarkers (the neutrophil to lymphocyte ratio (NLR), platelet to lymphocyte ratio (PLR), systemic inflammatory index (SII), and C-reactive protein (CRP)), Ca-P product, the prognostic nutritional index (PNI), and the diameters of the venous and arterial components in the failure of AVF maturation. Methods: The present study was designed as an observational, analytical, and retrospective cohort study with a longitudinal follow-up, and included all patients with a diagnosis of ESRD that were admitted to the Vascular Surgery Clinic of the Targu Mures Emergency County Hospital, Romania, between January 2019 and December 2021. Results: The maturation of AVF at 6 weeks was clearly lower in cases of patients in the high-NLR (31.88% vs. 91.36%; p < 0.0001), high-PLR (46.94% vs. 85.55%; p < 0.0001), high-SII (44.28% vs. 88.89%; p < 0.0001), high-CRP (46.30% vs. 88.73%; p < 0.0001), high-Ca-P product (40.43% vs. 88.46%; p < 0.0001), and low-PNI (34.78% vs. 91.14%; p < 0.0001) groups, as well as in patients with a lower radial artery (RA) diameter (40% vs. 94.87%; p = 0.0009), cephalic vein (CV) diameter (44.82% vs. 97.14%; p = 0.0001) for a radio-cephalic AVF (RC-AVF), and brachial artery (BA) diameter (30.43% vs. 89.47%; p < 0.0001) in addition to CV diameter (40% vs. 94.59%; p < 0.0001) for a brachio-cephalic AVF (BC-AVF), respectively. There was also a significant increase in early thrombosis and short-time mortality in the same patients. A multivariate analysis showed that a baseline value for the NLR, PLR, SII, CRP, Ca-P product, and PNI was an independent predictor of adverse outcomes for all of the recruited patients. Furthermore, for all patients, a high baseline value for vessel diameter was a protective factor against any negative events during the study period, except for RA diameter in mortality (p = 0.16). Conclusion: Our findings concluded that higher NLR, PLR, SII, CRP, Ca-P product, and PNI values determined preoperatively were strongly predictive of AVF maturation failure, early thrombosis, and short-time mortality. Moreover, a lower baseline value for vessel diameter was strongly predictive of AVF maturation failure and early thrombosis.

摘要

背景

动静脉内瘘(AVF)是终末期肾病(ESRD)患者的一线血管通路。在规划血管通路时,有必要检查静脉和动脉成分的直径,以获得满意的长期效果。此外,AVF成熟失败和短期通畅的潜在机制尚不完全清楚。本研究旨在验证炎症生物标志物(中性粒细胞与淋巴细胞比值(NLR)、血小板与淋巴细胞比值(PLR)、全身炎症指数(SII)和C反应蛋白(CRP))、钙磷乘积、预后营养指数(PNI)以及静脉和动脉成分直径在AVF成熟失败中的预测作用。

方法

本研究设计为一项观察性、分析性和回顾性队列研究,并进行纵向随访,纳入了2019年1月至2021年12月期间入住罗马尼亚特尔古穆列什市急诊县医院血管外科诊所的所有诊断为ESRD的患者。

结果

高NLR组(31.88%对91.36%;p<0.0001)、高PLR组(46.94%对85.55%;p<0.0001)、高SII组(44.28%对88.89%;p<0.0001)、高CRP组(46.30%对88.73%;p<0.0001)、高钙磷乘积组(40.43%对88.46%;p<0.0001)和低PNI组(34.78%对91.14%;p<0.0001)患者的AVF在6周时的成熟率明显较低,对于头静脉桡动脉内瘘(RC-AVF),桡动脉(RA)直径较小(40%对94.87%;p=0.0009)、头静脉(CV)直径较小(44.82%对97.14%;p=0.0001)的患者,以及对于头臂静脉内瘘(BC-AVF),除了CV直径较小(40%对94.59%;p<0.0001)外,肱动脉(BA)直径较小(30.43%对&89.47%;p<0.0001)的患者也是如此。这些患者的早期血栓形成和短期死亡率也显著增加。多变量分析显示,NLR、PLR、SII、CRP、钙磷乘积和PNI的基线值是所有纳入患者不良结局的独立预测因素。此外,对于所有患者,血管直径的高基线值是研究期间预防任何不良事件的保护因素,但死亡率中的RA直径除外(p=0.16)。

结论

我们的研究结果表明,术前确定的较高NLR、PLR、SII、CRP、钙磷乘积和PNI值强烈预测AVF成熟失败、早期血栓形成和短期死亡率。此外,血管直径的较低基线值强烈预测AVF成熟失败和早期血栓形成。

https://cdn.ncbi.nlm.nih.gov/pmc/blobs/60d8/9506395/0a4b919bc323/life-12-01447-g001.jpg

文献AI研究员

20分钟写一篇综述,助力文献阅读效率提升50倍。

立即体验

用中文搜PubMed

大模型驱动的PubMed中文搜索引擎

马上搜索

文档翻译

学术文献翻译模型,支持多种主流文档格式。

立即体验