Suppr超能文献

不同底物对酵母长期培养过程中形态特征及多元醇产生的影响

The Effect of Different Substrates on the Morphological Features and Polyols Production of Yeast during Long-Lasting Cultivation.

作者信息

Kokoreva Anastasia S, Isakova Elena P, Tereshina Vera M, Klein Olga I, Gessler Natalya N, Deryabina Yulia I

机构信息

A.N. Bach Institute of Biochemistry, Research Center of Biotechnology of the Russian Academy of Sciences, Leninsky Ave. 33/2, 119071 Moscow, Russia.

Winogradsky Institute of Microbiology, Research Center of Biotechnology of the Russian Academy of Sciences, Prospekt 60-Letiya Oktyabrya, 7/2, 117312 Moscow, Russia.

出版信息

Microorganisms. 2022 Aug 25;10(9):1709. doi: 10.3390/microorganisms10091709.

Abstract

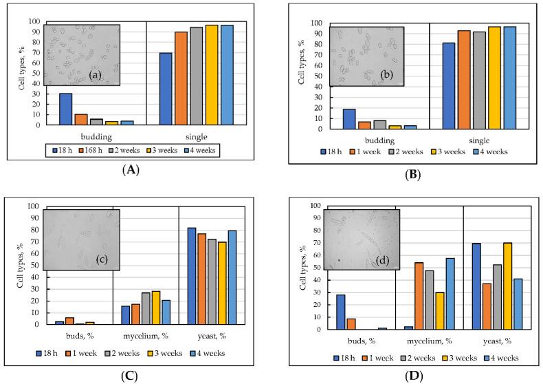
The study on the influence of different glucose concentrations (2%, 0.5%, and 0.2%) and glycerol (1%) on the morphological and physiological features, as well as the composition of soluble carbohydrates, was performed using yeast. Two-factor analysis of variance with repetitions to process the data of the cell size changes showed that the substrate type affected cell size the most. The cells with 2% glucose were 30-35% larger than those growing on glycerol. The decrease in the initial glucose concentration up to 0.5-0.2% slightly changed the cell length. However, even in the logarithmic growth phase pseudo-mycelium of two to four cells appeared in the cultures when using low glucose, unlike those using glycerol. Throughout the whole experiment, more than 90% of the populations remained viable on all of the substrates tested. The ability for colony formation decreased during aging. Nevertheless, at the three-week stage, upon substrate restriction (0.2% glucose), it was twice higher than those under the other conditions. The respiration rate also decreased and exceeded not more than 10% of that in the logarithmic phase. By the end of the experiment, the cyanide-sensitive respiration share decreased up to 40% for all types of substrates. The study of soluble cytosol carbohydrates showed that the cultures using 2% glucose and 1% glycerol contained mainly arabitol and mannitol, while at low glucose concentrations they were substituted for inositol. The formation of inositol is supposed to be related to pseudo-mycelium formation. The role of calorie restriction in the regulation of carbohydrate synthesis and the composition in the yeast and its biotechnological application is under consideration.

摘要

利用酵母进行了不同葡萄糖浓度(2%、0.5%和0.2%)以及甘油(1%)对形态和生理特征以及可溶性碳水化合物组成影响的研究。采用有重复的双因素方差分析处理细胞大小变化数据,结果表明底物类型对细胞大小影响最大。含2%葡萄糖的细胞比在甘油上生长的细胞大30 - 35%。初始葡萄糖浓度降至0.5 - 0.2%时,细胞长度略有变化。然而,与使用甘油的培养物不同,在使用低葡萄糖时,即使在对数生长期,培养物中也会出现由两到四个细胞组成的假菌丝。在整个实验过程中,超过90%的群体在所有测试底物上都保持存活。随着老化,菌落形成能力下降。然而,在三周阶段,在底物限制(0.2%葡萄糖)条件下,其菌落形成能力是其他条件下的两倍。呼吸速率也下降,且不超过对数期呼吸速率的10%。到实验结束时,所有类型底物的氰化物敏感呼吸份额均下降至40%。对可溶性细胞溶质碳水化合物的研究表明,使用2%葡萄糖和1%甘油的培养物主要含有阿拉伯糖醇和甘露醇,而在低葡萄糖浓度下,它们被肌醇取代。肌醇的形成被认为与假菌丝的形成有关。热量限制在酵母碳水化合物合成调控及其组成以及生物技术应用中的作用正在研究中。

https://cdn.ncbi.nlm.nih.gov/pmc/blobs/088c/9506286/5e59f7d50219/microorganisms-10-01709-g001.jpg

文献AI研究员

20分钟写一篇综述,助力文献阅读效率提升50倍。

立即体验

用中文搜PubMed

大模型驱动的PubMed中文搜索引擎

马上搜索

文档翻译

学术文献翻译模型,支持多种主流文档格式。

立即体验