Suppr超能文献

中国农村成年人中食物外食频率与血清脂质水平和血脂异常的性别特异性关系。

Gender-specific relationship between frequency of food-away-from-home with serum lipid levels and dyslipidemia in chinese rural adults.

机构信息

Department of Epidemiology and Biostatistics, College of Public Health, Zhengzhou University, 100 Kexue Avenue, 450001, Zhengzhou, Henan, PR China.

出版信息

Lipids Health Dis. 2022 Nov 1;21(1):112. doi: 10.1186/s12944-022-01719-6.

Abstract

OBJECTIVE

Food-away-from-home (FAFH) is one of the leading dietary patterns in Chinese families. However, the relationship between FAFH and dyslipidemia remains unclear, especially in the rural adult population. This study explored the relationship of FAFH frequency with serum lipid levels and dyslipidemia in rural Chinese adults.

METHODS

A total of 12,002 men and 17,477 women aged 18-79 were included from the Henan rural cohort. Serum lipid levels were measured by enzyme colorimetry. Information on FAFH frequency was collected using a validated questionnaire. The associations of FAFH frequency and serum lipid levels were assessed through multiple linear regression modeling. Logistic regression was performed to explore the linkages of the FAFH frequency to dyslipidemia and its four parameter types. Mediation analysis examined whether body mass index (BMI) acted as a mediator between the FAFH frequency and dyslipidemia.

RESULTS

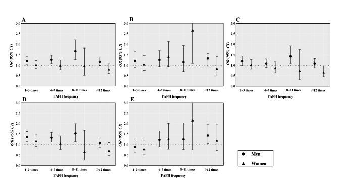
After adjusting for potential confounders, the adjusted odds ratio (OR) and 95% confidence interval (CI) of the groups with 8-11 FAFH times/week for dyslipidemia were 1.991 (1.569, 2.526) in men compared with 0-frequency subgroup. Participants who consumed 8-11 FAFH times/week had a higher risk of high total cholesterol (TC), high triglycerides (TG), high LDL-cholesterol (LDL-C), and low HDL-cholesterol (HDL-C) with the OR and 95% CI of 1.928 (1.247, 2.980), 1.723 (1.321, 2.247), 1.875 (1.215, 2.893), and 1.513 (1.168, 1.959), respectively. In addition, the interaction effect between FAFH and gender was significantly associated with dyslipidemia and lipid levels (P < 0.001). BMI played a fully mediating effect between FAFH frequency and dyslipidemia in men, and the Sobel test showed the significance of the mediating effect (z = 4.2158, P < 0.001).

CONCLUSION

In rural Chinese adults, FAFH was significantly associated with a higher risk of dyslipidemia, which indicated the importance of FAFH reduction and dietary intervention in patients with dyslipidemia and cardiovascular disease, especially in clinical practice.

TRIAL REGISTRATION

The Henan Rural Cohort Study has been registered on the Chinese Clinical Trial Register (Registration number: ChiCTR-OOC-15,006,699).

摘要

目的

在外就餐(FAFH)是中国家庭的主要饮食模式之一。然而,FAFH 与血脂异常之间的关系尚不清楚,特别是在农村成年人群中。本研究旨在探讨农村成年人中 FAFH 频率与血清脂质水平和血脂异常的关系。

方法

本研究共纳入了来自河南农村队列的 12002 名男性和 17477 名女性,年龄在 18-79 岁之间。采用酶比色法测定血清脂质水平。使用经过验证的问卷收集 FAFH 频率信息。通过多元线性回归模型评估 FAFH 频率与血清脂质水平的关系。采用 logistic 回归探讨 FAFH 频率与血脂异常及其四种参数类型的关系。中介分析检验了体质指数(BMI)是否在 FAFH 频率与血脂异常之间起中介作用。

结果

在调整了潜在混杂因素后,与 0 次/周 FAFH 组相比,男性每周 8-11 次 FAFH 组发生血脂异常的调整比值比(OR)和 95%置信区间(CI)为 1.991(1.569,2.526)。每周 8-11 次 FAFH 的参与者发生总胆固醇(TC)、甘油三酯(TG)、低密度脂蛋白胆固醇(LDL-C)和高密度脂蛋白胆固醇(HDL-C)升高的风险更高,OR 和 95%CI 分别为 1.928(1.247,2.980)、1.723(1.321,2.247)、1.875(1.215,2.893)和 1.513(1.168,1.959)。此外,FAFH 和性别之间的交互作用与血脂异常和血脂水平显著相关(P<0.001)。在男性中,BMI 在 FAFH 频率与血脂异常之间起完全中介作用,Sobel 检验显示中介作用具有统计学意义(z=4.2158,P<0.001)。

结论

在农村成年中国人中,FAFH 与血脂异常的风险增加显著相关,这表明减少 FAFH 和饮食干预在血脂异常和心血管疾病患者中的重要性,尤其是在临床实践中。

试验注册

河南农村队列研究已在中国临床试验注册中心(注册号:ChiCTR-OOC-15006699)注册。

https://cdn.ncbi.nlm.nih.gov/pmc/blobs/ddcd/9623917/25df4ba9316e/12944_2022_1719_Equa_HTML.jpg

文献AI研究员

20分钟写一篇综述,助力文献阅读效率提升50倍。

立即体验

用中文搜PubMed

大模型驱动的PubMed中文搜索引擎

马上搜索

文档翻译

学术文献翻译模型,支持多种主流文档格式。

立即体验