Suppr超能文献

骨关节炎与心血管疾病:一项孟德尔随机化研究。

Osteoarthritis and cardiovascular disease: A Mendelian randomization study.

作者信息

Wang Zhao, Kang Chan, Xu Pai, Zhang Shuyi, Song Jae Hwang, Wang Dongyang, Yuan Shuai, Lee Hyun Jong, Zhang Meng, Wang Zhihui, Sun Hao, Fan Ruobing

机构信息

Department of Orthopedic Surgery, Chungnam National University School of Medicine, Daejeon, South Korea.

Department of Orthopedic Surgery, The Second Hospital of Fuzhou Affiliated to Xiamen University, Fuzhou, China.

出版信息

Front Cardiovasc Med. 2022 Nov 18;9:1025063. doi: 10.3389/fcvm.2022.1025063. eCollection 2022.

Abstract

OBJECTIVE

This Mendelian randomization (MR) study aimed to investigate the causal relationship between osteoarthritis (OA) and cardiovascular disease (CVD).

METHODS

From a genome-wide association study of European ancestry, we selected single nucleotide polymorphisms for two types of OA, knee osteoarthritis (KOA) and hip osteoarthritis (HOA), as instrumental variables. We evaluated three types of CVD: coronary heart disease (CHD), heart failure (HF), and stroke. We used the traditional inverse variance weighting (IVW) method and other methods to estimate causality. Heterogeneity and sensitivity tests were also applied. Finally, we conducted a MR analysis in the opposite direction to investigate reverse causality.

RESULTS

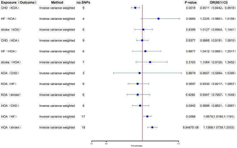
IVW analysis showed that HOA significantly affected the incidence of HF [odds ratio (OR): 1.0675; 95% confidence interval (CI): 0.0182-0.1125, = 0.0066]. HOA significantly affected the incidence of stroke (OR: 1.1368; 95% CI: 1.0739-1.2033, = 9.9488e-06). CHD could dramatically affect the incidence of KOA (OR: 0.9011; 95% CI: 0.8442-0.9619, = 0.0018). The rest of the results were negative.

CONCLUSIONS

Our results revealed a potential causal relationship between HOA and risk of HF, and a potential causal relationship between HOA and risk of stroke. Our findings also suggested that CHD has a significant causal relationship with the risk of KOA. This paper may provide new ideas for the treatment of OA and CVD.

摘要

目的

本孟德尔随机化(MR)研究旨在探讨骨关节炎(OA)与心血管疾病(CVD)之间的因果关系。

方法

从一项欧洲血统的全基因组关联研究中,我们选择了两种类型OA(膝关节骨关节炎(KOA)和髋关节骨关节炎(HOA))的单核苷酸多态性作为工具变量。我们评估了三种类型的CVD:冠心病(CHD)、心力衰竭(HF)和中风。我们使用传统的逆方差加权(IVW)方法和其他方法来估计因果关系。还进行了异质性和敏感性检验。最后,我们进行了反向的MR分析以研究反向因果关系。

结果

IVW分析表明,HOA显著影响HF的发病率[优势比(OR):1.0675;95%置信区间(CI):0.0182 - 0.1125,P = 0.0066]。HOA显著影响中风的发病率(OR:1.1368;95%CI:1.0739 - 1.2033,P = 9.9488e - 06)。CHD可显著影响KOA的发病率(OR:0.9011;95%CI:0.8442 - 0.9619,P = 0.0018)。其余结果为阴性。

结论

我们的结果揭示了HOA与HF风险之间的潜在因果关系,以及HOA与中风风险之间的潜在因果关系。我们的研究结果还表明CHD与KOA风险之间存在显著的因果关系。本文可能为OA和CVD的治疗提供新思路。

https://cdn.ncbi.nlm.nih.gov/pmc/blobs/5e79/9717609/4966500de1e7/fcvm-09-1025063-g0001.jpg

文献AI研究员

20分钟写一篇综述,助力文献阅读效率提升50倍。

立即体验

用中文搜PubMed

大模型驱动的PubMed中文搜索引擎

马上搜索

文档翻译

学术文献翻译模型,支持多种主流文档格式。

立即体验