Suppr超能文献

评估阻塞性睡眠呼吸暂停患者中 HIF-1 对 BDNF 和 ProBDNF 信号通路的影响。

Evaluation of HIF-1 Involvement in the BDNF and ProBDNF Signaling Pathways among Obstructive Sleep Apnea Patients.

机构信息

Department of Sleep Medicine and Metabolic Disorders, Medical University of Lodz, 90-419 Lodz, Poland.

出版信息

Int J Mol Sci. 2022 Nov 28;23(23):14876. doi: 10.3390/ijms232314876.

Abstract

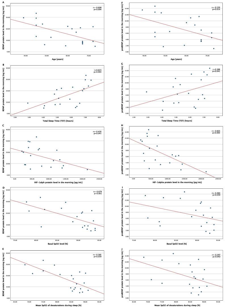
Obstructive Sleep Apnea (OSA) is a chronic condition characterized by intermittent hypoxia associated with multiple comorbidities, including psychiatric disorders, such as depression, insomnia, and cognitive impairment. The brain-derived neurotrophic factor (BDNF) and proBDNF singling pathways have been shown to be involved in this group of diseases. Furthermore, their expression might be affected by hypoxia-inducible factor 1 (HIF-1), which is an oxygen sensitive transcription factor due to its alpha subunit. Therefore, this study aimed to evaluate the association between HIF-1α, BDNF, and proBDNF protein levels among OSA patients. This study included 40 individuals who underwent polysomnography (PSG) and were divided into the OSA group (n = 20; AHI ≥ 30) and healthy control (n = 20; AHI < 5) based on the apnea−hypopnea index (AHI). All participants had their peripheral blood collected in the evening before and the morning after the PSG. BDNF, proBDNF, and HIF-1α protein concertation measurements were performed using ELISA. No differences were found in BDNF, proBDNF, and HIF-1α protein levels between OSA and the control group, both in the evening and in the morning. In the OSA group, i.e., the linear regression model, the morning BDNF protein level was predicted by age (ß = −0.389, p = 0.023) and the mean SpO2 of desaturations during sleep (ß = −0.577, p = 0.002). This model accounted for 63.3% of the variability in the morning BDNF protein level (F = 14.639, p < 0.001). The morning proBDNF protein level was predicted by age (ß = −0.395, p = 0.033) and HIF-1α morning protein level (ß = −3.192, p = 0.005). This model accounted for 52.4% of the variability in the morning BDNF protein level (F = 9.355, p = 0.002). The obtained results suggest that the HIF-1 transcription factor might be involved in the pathway activated by proBDNF, which may have protective properties from hypoxia in OSA patients.

摘要

阻塞性睡眠呼吸暂停(OSA)是一种以间歇性缺氧为特征的慢性疾病,与多种合并症有关,包括精神障碍,如抑郁、失眠和认知障碍。脑源性神经营养因子(BDNF)和前脑啡肽原信号通路已被证明与这组疾病有关。此外,它们的表达可能受到缺氧诱导因子 1(HIF-1)的影响,由于其α亚基,HIF-1 是一种对氧气敏感的转录因子。因此,本研究旨在评估 OSA 患者中 HIF-1α、BDNF 和 proBDNF 蛋白水平之间的关系。本研究纳入了 40 名接受多导睡眠图(PSG)检查的患者,并根据呼吸暂停-低通气指数(AHI)将其分为 OSA 组(n=20;AHI≥30)和健康对照组(n=20;AHI<5)。所有参与者在 PSG 检查前的晚上和检查后的早上采集外周血。使用 ELISA 法检测 BDNF、proBDNF 和 HIF-1α 蛋白浓度。在晚上和早上,OSA 组和对照组之间的 BDNF、proBDNF 和 HIF-1α 蛋白水平均无差异。在 OSA 组中,即线性回归模型中,早上的 BDNF 蛋白水平可由年龄(β=−0.389,p=0.023)和睡眠时脱氧饱和度的平均 SpO2(β=−0.577,p=0.002)来预测。该模型解释了早上 BDNF 蛋白水平的 63.3%(F=14.639,p<0.001)的变异性。早上 proBDNF 蛋白水平可由年龄(β=−0.395,p=0.033)和 HIF-1α 早上蛋白水平(β=−3.192,p=0.005)来预测。该模型解释了早上 BDNF 蛋白水平的 52.4%(F=9.355,p=0.002)的变异性。研究结果表明,HIF-1 转录因子可能参与由 proBDNF 激活的通路,该通路可能在 OSA 患者的缺氧中具有保护作用。

https://cdn.ncbi.nlm.nih.gov/pmc/blobs/f42a/9736577/e251a3322af2/ijms-23-14876-g001.jpg

文献AI研究员

20分钟写一篇综述,助力文献阅读效率提升50倍。

立即体验

用中文搜PubMed

大模型驱动的PubMed中文搜索引擎

马上搜索

文档翻译

学术文献翻译模型,支持多种主流文档格式。

立即体验