Suppr超能文献

巴塞罗那(西班牙)住院儿童中非 SARS-CoV-2 病毒下呼吸道感染的负担:一项长期的临床、流行病学和经济研究。

The burden of non-SARS-CoV2 viral lower respiratory tract infections in hospitalized children in Barcelona (Spain): A long-term, clinical, epidemiologic and economic study.

机构信息

Paediatric Hospital Medicine, Department of Paediatrics, Hospital Universitari Vall d'Hebron, Barcelona, Spain.

Department of Paediatrics, Obstetrics and Gynecology, Preventive Medicine and Public Health. Faculty of Medicine, Universitat Autònoma de Barcelona, Barcelona, Spain.

出版信息

Influenza Other Respir Viruses. 2023 Jan;17(1):e13085. doi: 10.1111/irv.13085. Epub 2022 Dec 20.

Abstract

BACKGROUND

Viral lower respiratory tract infections (LRTI) are the leading cause of hospitalization in children. In Catalonia (Spain), information is scarce about the burden of viral LRTIs in paediatric hospitalizations. The aim of this study is to describe epidemiological, clinical, virological and economic features of paediatric hospitalizations due to viral LRTI.

METHODS

From October 2012 to December 2020, children aged <16 years admitted to a tertiary paediatric hospital in Catalonia (Spain) with confirmed viral LRTI were included in the study. Virus seasonality, prevalence, age and sex distribution, clinical characteristics, hospital costs and bed occupancy rates were determined.

RESULTS

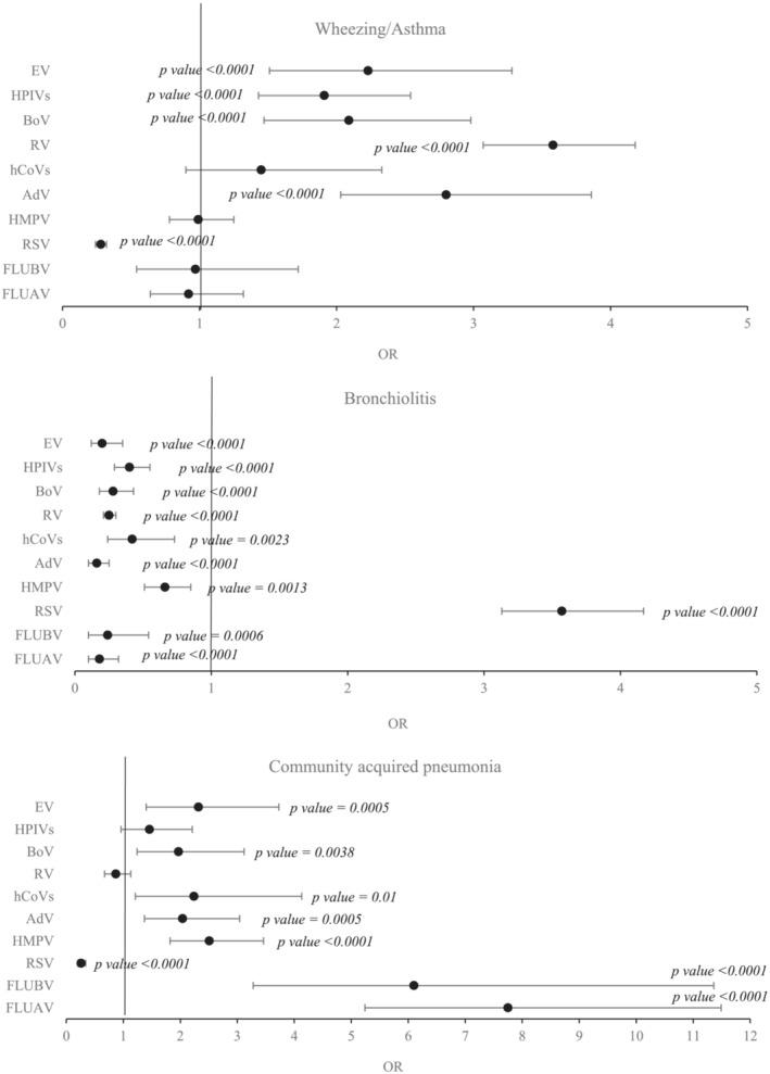
A total of 3,325 children were included (57.17% male, 9.44% with comorbidities) accounting for 4056 hospitalizations (32.47% ≤ 12 months): 53.87% with wheezing/asthma, 37.85% with bronchiolitis and 8.28% with pneumonia. The most common virus was respiratory syncytial virus (RSV) (52.59%). Influenza A was associated with pneumonia (odds ratio [OR] 7.75) and caused longer hospitalizations (7 ± 31.58 days), while RSV was associated with bronchiolitis (OR 6.62) and was the most frequent reason for admission to the paediatric intensive care unit (PICU) (11.23%) and for respiratory support (78.76%). Male sex, age ≤12 months, chronic conditions and bronchiolitis significantly increased the odds of PICU admission. From October to May, viral LRTIs accounted for 12.36% of overall hospital bed days. The total hospitalization cost during the study period was €16,603,415.

CONCLUSIONS

Viral LRTIs are an important cause of morbidity, hospitalization and PICU admission in children. The clinical burden is associated with significant bed occupancy and health-care costs, especially during seasonal periods.

摘要

背景

病毒性下呼吸道感染(LRTI)是导致儿童住院的主要原因。在加泰罗尼亚(西班牙),有关儿科住院患者中病毒性 LRTI 负担的信息很少。本研究旨在描述病毒性 LRTI 导致的儿科住院患者的流行病学、临床、病毒学和经济学特征。

方法

从 2012 年 10 月至 2020 年 12 月,加泰罗尼亚(西班牙)一家三级儿科医院收治的确诊为病毒性 LRTI 的<16 岁儿童被纳入本研究。确定了病毒季节性、流行率、年龄和性别分布、临床特征、医院费用和床位占用率。

结果

共纳入 3325 名儿童(57.17%为男性,9.44%有合并症),共 4056 例住院(32.47%≤12 个月):53.87%有喘息/哮喘,37.85%有细支气管炎,8.28%有肺炎。最常见的病毒是呼吸道合胞病毒(RSV)(52.59%)。甲型流感与肺炎有关(比值比[OR]7.75),并导致更长的住院时间(7±31.58 天),而 RSV 与细支气管炎有关(OR 6.62),是儿科重症监护病房(PICU)(11.23%)和呼吸支持(78.76%)最常见的入院原因。男性、≤12 个月、慢性疾病和细支气管炎显著增加了 PICU 入院的几率。10 月至 5 月,病毒性 LRTI 占总住院天数的 12.36%。研究期间的总住院费用为€16603415。

结论

病毒性 LRTI 是儿童发病率、住院率和 PICU 入院率的重要原因。临床负担与显著的床位占用和医疗保健费用有关,特别是在季节性时期。

https://cdn.ncbi.nlm.nih.gov/pmc/blobs/11d9/9835422/af9d471052be/IRV-17-e13085-g001.jpg

文献AI研究员

20分钟写一篇综述,助力文献阅读效率提升50倍。

立即体验

用中文搜PubMed

大模型驱动的PubMed中文搜索引擎

马上搜索

文档翻译

学术文献翻译模型,支持多种主流文档格式。

立即体验