Suppr超能文献

术后放疗及区域淋巴结照射在局限性默克尔细胞癌中的作用:一项单中心回顾性分析

Postoperative Radiotherapy and the Role of Regional Lymph Node Irradiation in Localized Merkel Cell Carcinoma: A Single-Center Retrospective Analysis.

作者信息

Dinges Lisa-Antonia, Eichkorn Tanja, Regnery Sebastian, Hörner-Rieber Juliane, Debus Jürgen, Hassel Jessica C, Lang Kristin

机构信息

Department of Radiation Oncology, Heidelberg University Hospital, Im Neuenheimer Feld 400, 69120 Heidelberg, Germany.

Heidelberg Institute for Radiation Oncology (HIRO), Heidelberg University, Im Neuenheimer Feld 400, 69120 Heidelberg, Germany.

出版信息

Cancers (Basel). 2022 Dec 13;14(24):6140. doi: 10.3390/cancers14246140.

Abstract

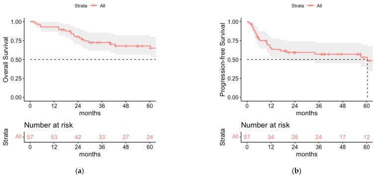
The aim of this study was to analyze the pattern of relapse of patients with Merkel cell carcinoma (MCC) that underwent resection of the primary tumor site and postoperative radiotherapy at the Department of Radiation Oncology of Heidelberg University and to determine the role of the elective radiotherapy of regional lymph nodes with respect to SLNB results. A total of 57 patients were included in the present retrospective analysis. A total of 33 patients had additional lymph node irradiation (LNI); 24 had postoperative radiotherapy of the tumor bed only. Median follow-up was 43 months. Recurrence rate of the total cohort was 22.8%. Most relapses (69%) occurred in the regional nodes. Cumulative infield-tumor recurrence rate was low with 5.3%. Regional recurrence was more frequent in the cohort without LNI with 85.7% versus 37.5% with LNI. These results were similar for patients with negative sentinel lymph node (SLN) only with 80% regional relapses for those without LNI versus 33% with LNI. In conclusion, our data show that regional recurrence is the most frequent site of relapse in stage I-III MCC treated with curative intended postoperative radiotherapy and that elective irradiation of the regional lymph nodes reduces the risk of regional relapse even if the SLN was negative.

摘要

本研究的目的是分析在海德堡大学放射肿瘤学系接受原发性肿瘤部位切除及术后放疗的默克尔细胞癌(MCC)患者的复发模式,并确定区域淋巴结选择性放疗相对于前哨淋巴结活检(SLNB)结果的作用。本项回顾性分析共纳入57例患者。其中33例患者接受了额外的淋巴结照射(LNI);24例仅接受了肿瘤床的术后放疗。中位随访时间为43个月。整个队列的复发率为22.8%。大多数复发(69%)发生在区域淋巴结。野内肿瘤累积复发率较低,为5.3%。未接受LNI的队列中区域复发更常见,为85.7%,而接受LNI的为37.5%。仅前哨淋巴结(SLN)阴性的患者也有类似结果,未接受LNI的患者区域复发率为80%,而接受LNI的为33%。总之,我们的数据表明,在接受根治性术后放疗的I - III期MCC患者中,区域复发是最常见的复发部位,并且即使SLN为阴性,区域淋巴结的选择性照射也可降低区域复发风险。

https://cdn.ncbi.nlm.nih.gov/pmc/blobs/d603/9776017/0de39adda15e/cancers-14-06140-g0A1.jpg

文献AI研究员

20分钟写一篇综述,助力文献阅读效率提升50倍。

立即体验

用中文搜PubMed

大模型驱动的PubMed中文搜索引擎

马上搜索

文档翻译

学术文献翻译模型,支持多种主流文档格式。

立即体验