Suppr超能文献

不同 SARS-CoV-2 疫苗在哺乳期妇女血清和乳汁中诱导的 SARS-CoV-2 特异性 IgG 和 IgA 抗体的产生。

Development of SARS-CoV-2 specific IgG and IgA antibodies in serum and milk with different SARS-COV-2 vaccines in lactating women.

机构信息

Departamento de Enfermería, Universidad de Cantabria, Santander, Spain.

Breastfeeding Coordinator, IBCLC, Hospital Universitario Marqués de Valdecilla, Cantabria, Spain.

出版信息

Int Breastfeed J. 2023 Jan 11;18(1):3. doi: 10.1186/s13006-022-00536-y.

Abstract

BACKGROUND

Our main objective was to determine the evolution of IgG and IgA antibodies directed against SARS-CoV-2 protein S in the blood of lactating women and in breast milk.

METHODS

A cohort of 110 uninfected and vaccinated breastfeeding women was followed-up for 6 months at the Marqués de Valdecilla University Hospital, Spain, in 2020. An additional group of 23 breastfeeding mothers who had no previously documented infection and had not been vaccinated against SARS-CoV-2 were included as a control group. The antibodies in blood and breast milk and their evolution at 6 months post-vaccination were analysed.

RESULTS

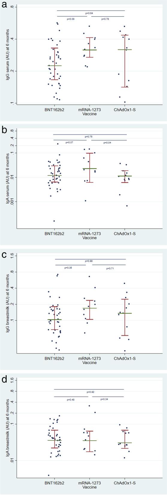
One hundred ten breastfeeding mothers were included; 70 women (63.6%) were vaccinated with two doses of BNT162b2, 20 women (18.2%) received two doses of mRNA-1273, and 20 women (18.2%) received a single dose of ChAdOx1-S. No evidence of differences between concentrations of antibodies was found according to the type of vaccine, with the exception of serum IgA antibodies, which was higher in women vaccinated with mRNA-1273: mean [95%CI]: 0.05 AU/mL [0.03,0.06] with mRNA-1273, 0.02 AU/mL [0.01,0.03] with BNT162b2 and 0.01 AU/mL [0.00,0.03] with ChAdOx1-S, ANOVA p value = 0.03. The lack of difference between vaccines was also found when anti-S1 specific IgG in serum and breast milk were measured.

CONCLUSIONS

In lactating women vaccinated against COVID-19, anti-SARS-CoV-2 antibodies can be detected in both serum and breastmilk 6 months after receiving the second dose, although their concentrations decreased when compared with concentrations reached immediately after vaccination.

摘要

背景

我们的主要目标是确定针对 SARS-CoV-2 蛋白 S 的 IgG 和 IgA 抗体在哺乳期妇女血液和母乳中的演变。

方法

2020 年,在西班牙马尔凯斯德瓦尔德西利亚大学医院对 110 名未感染且已接种疫苗的哺乳期妇女进行了为期 6 个月的随访。还纳入了 23 名未曾记录感染且未接种 SARS-CoV-2 疫苗的哺乳期母亲作为对照组。分析了血液和母乳中的抗体及其在接种疫苗后 6 个月的演变。

结果

纳入了 110 名哺乳期母亲;70 名女性(63.6%)接种了两剂 BNT162b2,20 名女性(18.2%)接种了两剂 mRNA-1273,20 名女性(18.2%)接种了一剂 ChAdOx1-S。除了血清 IgA 抗体外,未发现根据疫苗类型抗体浓度存在差异,mRNA-1273 组接种女性血清 IgA 抗体更高:均值[95%CI]:0.05[0.03,0.06] 与 mRNA-1273,0.02[0.01,0.03] 与 BNT162b2 和 0.01[0.00,0.03] 与 ChAdOx1-S,方差分析 p 值=0.03。当测量血清和母乳中针对 S1 的特异性 IgG 时,也发现了疫苗之间没有差异。

结论

在接种 COVID-19 疫苗的哺乳期妇女中,在接种第二剂后 6 个月可在血清和母乳中检测到针对 SARS-CoV-2 的抗体,但与接种后立即达到的浓度相比,其浓度降低。

https://cdn.ncbi.nlm.nih.gov/pmc/blobs/03b6/9832769/65168e886802/13006_2022_536_Fig1_HTML.jpg

文献AI研究员

20分钟写一篇综述,助力文献阅读效率提升50倍。

立即体验

用中文搜PubMed

大模型驱动的PubMed中文搜索引擎

马上搜索

文档翻译

学术文献翻译模型,支持多种主流文档格式。

立即体验