Suppr超能文献

基于纳米技术基质的香茅油驱虫剂的研发以获得长效效果及安全性和有效性评估

Development of a Nanotechnology Matrix-Based Citronella Oil Insect Repellent to Obtain a Prolonged Effect and Evaluation of the Safety and Efficacy.

作者信息

Higuchi Celio Takashi, Sales Caroline Cianga, Andréo-Filho Newton, Martins Tereza Silva, Ferraz Helena Onishi, Santos Yasmin Rosa, Lopes Patricia Santos, Grice Jeffrey Ernest, Benson Heather Ann Elizabeth, Leite-Silva Vania Rodrigues

机构信息

Instituto de Ciências Ambientais Químicas e Farmacêuticas, Universidade Federal de São Paulo, Diadema CEP 09913-030, SP, Brazil.

Therapeutics Research Centre, The University of Queensland Diamantina Institute, Translational Research Institute, Brisbane, QLD 4102, Australia.

出版信息

Life (Basel). 2023 Jan 4;13(1):141. doi: 10.3390/life13010141.

Abstract

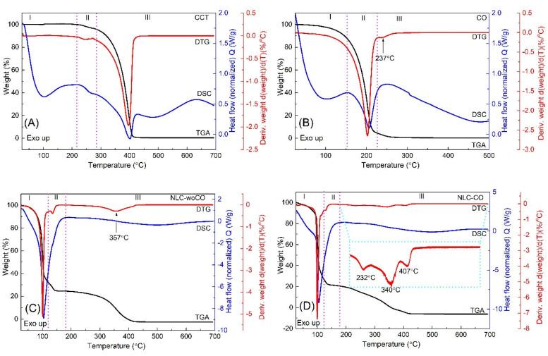
Mosquito-borne diseases affect millions of people worldwide each year, and the use of a topically applied insect repellent is an economically viable preventative health practice. The general objective of this work was to encapsulate citronella oil (CO) in a nanostructured lipid carrier (NLC) to formulate a topical repellent with a long duration of efficacy on the skin and a good safety profile based on minimizing skin penetration. In the studied CO, the main chemical constituents of geraniol, citronellal, and citronellol were identified and subsequently used as markers for the in vitro skin permeation testing (IVPT). An optimal NLC encapsulating CO formulation was developed and had an average particle size of 350 nm. The NLC was then formulated in combination with CO at ratios of 2:1, 1:1, and 1:2 CO:NLC-CO as oil-in-water (O/W) emulsions and compared to CO in the same O/W emulsion base (all at 10% CO in the final O/W topical formulation). The markers geraniol, citronellol, and citronellal were detected in all samples tested F1 (10% CO in O/W emulsion) and F3 (10% CO/NLC-CO 1:1 in O/W emulsion). Even the percentages of F3 markers were higher than F1. The recovery of the percentage balance (based on the total remaining on the skin surface, on the skin, and penetrated through the skin to the receptor) of geraniol, citronellol, and citronellal markers for F1 and F3 was 7.70% and 11.96%; 25.51% and 31.89%; and 5.09% and 4.40%, respectively. The nanoparticle lipid solid forms a repellent reservoir on the skin surface, releasing the active ingredients slowly through volatilization, extending the repellent action, and reducing permeation through the skin. It is possible to assume that the remaining 92.30% and 88.03%; 74.49% and 68.11%; and 94.10% and 95.60% of geraniol, citronellol, and citronellal markers of F1 and F3, respectively, were lost to evaporation. In the in vivo efficacy test carried out with the mosquito, F3 was the optimal formulation, providing the greatest repellent action compared to free oil in O/W emulsion. Thermal analysis showed that the NLC-CO raised the boiling point of the encapsulated CO compared to the free oil, suggesting that the controlled release of the CO was a possible mechanism for its prolonged effect. We concluded that the nanocarriers developed with CO were stable and provided improved mosquito-repellent efficacy with minimal skin penetration of the CO actives over 24 h. Indeed, regardless of whether the CO was applied as free oil, a 1:1 mixture of CO (pure/free oil) or NLC-CO applied in an O/W emulsion can be considered safe for topical application due to minimal skin penetration.

摘要

蚊媒疾病每年影响全球数百万人,使用局部涂抹的驱虫剂是一种经济可行的预防性健康措施。这项工作的总体目标是将香茅油(CO)包裹在纳米结构脂质载体(NLC)中,以配制一种局部驱虫剂,使其在皮肤上具有长效功效,并基于最小化皮肤渗透具有良好的安全性。在所研究的CO中,鉴定出香叶醇、香茅醛和香茅醇的主要化学成分,并随后用作体外皮肤渗透测试(IVPT)的标志物。开发了一种包裹CO的最佳NLC配方,其平均粒径为350nm。然后将NLC与CO按2:1、1:1和1:2的CO:NLC - CO比例配制成水包油(O/W)乳液,并与相同O/W乳液基质中的CO进行比较(最终O/W局部制剂中CO均为10%)。在所有测试样品F1(O/W乳液中10% CO)和F3(O/W乳液中10% CO/NLC - CO 1:1)中均检测到标志物香叶醇、香茅醇和香茅醛。甚至F3标志物的百分比高于F1。F1和F3的香叶醇、香茅醇和香茅醛标志物的回收率(基于皮肤表面、皮肤和透过皮肤渗透到受体中的总残留量)分别为7.70%和11.96%;25.51%和31.89%;以及5.09%和4.40%。纳米颗粒脂质固体在皮肤表面形成驱虫剂储库,通过挥发缓慢释放活性成分,延长驱虫作用,并减少透过皮肤的渗透。可以假设,F1和F3的香叶醇、香茅醇和香茅醛标志物分别剩余的92.30%和88.03%;74.49%和68.11%;以及94.10%和95.60%因蒸发而损失。在用蚊子进行的体内功效测试中,F3是最佳配方与O/W乳液中的游离油相比具有最大的驱虫作用。热分析表明,与游离油相比,NLC - CO提高了包裹的CO的沸点,表明CO的控释是其长效作用的一种可能机制。我们得出结论,用CO开发纳米载体是稳定的,并且在24小时内以最小的CO活性成分皮肤渗透提供了改善的驱蚊功效。事实上,无论CO是以游离油形式应用,还是以CO(纯/游离油)或NLC - CO的1:1混合物形式应用于O/W乳液中,由于皮肤渗透最小,都可以认为局部应用是安全的。

https://cdn.ncbi.nlm.nih.gov/pmc/blobs/a7ed/9866038/b99f26376b94/life-13-00141-g001.jpg

文献AI研究员

20分钟写一篇综述,助力文献阅读效率提升50倍。

立即体验

用中文搜PubMed

大模型驱动的PubMed中文搜索引擎

马上搜索

文档翻译

学术文献翻译模型,支持多种主流文档格式。

立即体验