Suppr超能文献

ChAdOx1 nCoV-19(Covishield)疫苗在医护人员中诱导的抗体反应的持久性

Durability of ChAdOx1 nCoV-19 (Covishield) Vaccine Induced Antibody Response in Health Care Workers.

作者信息

Verma Alka, Goel Amit, Katiyar Harshita, Tiwari Prachi, Sana Asari, Khetan Dheeraj, Bhadauria Dharmendra Singh, Raja Ajay, Khokher Neelam, Singh Ratendra Kumar, Aggarwal Amita

机构信息

Department of Emergency Medicine, Sanjay Gandhi Postgraduate Institute of Medical Sciences, Lucknow 226014, India.

Department of Gastroenterology, Sanjay Gandhi Postgraduate Institute of Medical Sciences, Lucknow 226014, India.

出版信息

Vaccines (Basel). 2022 Dec 30;11(1):84. doi: 10.3390/vaccines11010084.

Abstract

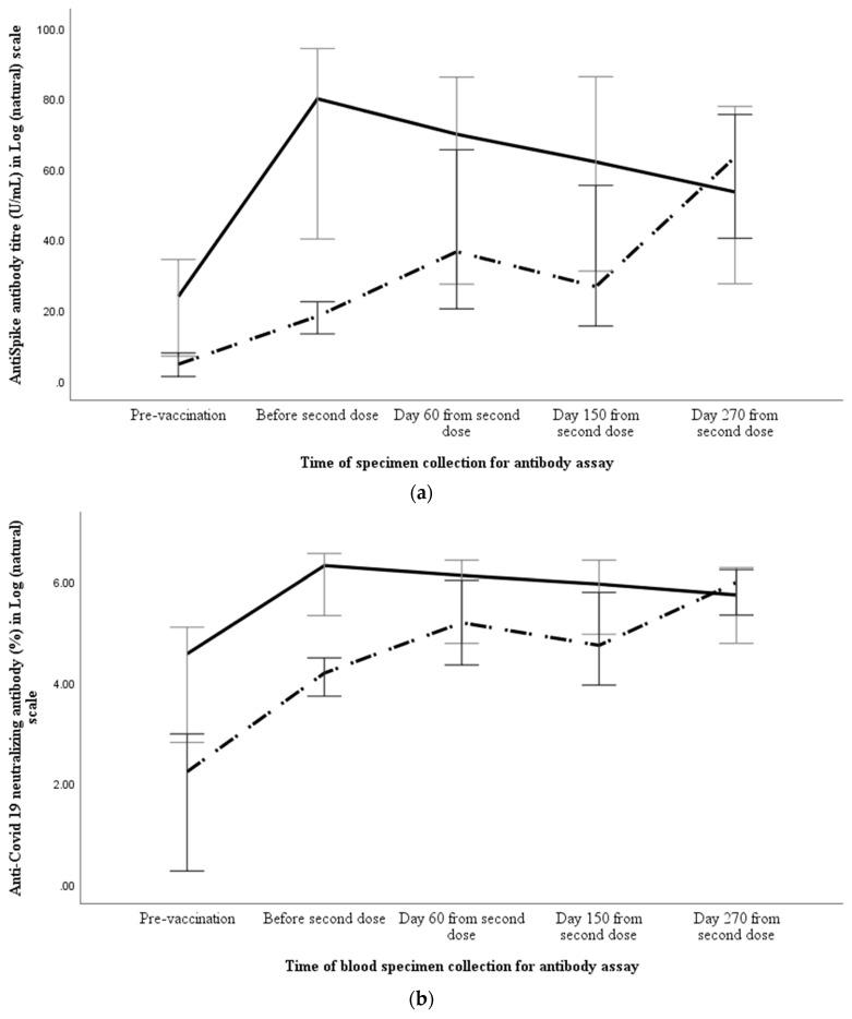
(i) Background: ChAdOx1 nCoV-19 (Covishield®) vaccine is widely used in India. We studied the Covishield® induced antibody response and its durability among health care workers (HCWs) (ii) Method: HCWs received two doses (0.5 mL) four weeks apart. Blood specimens, collected before each dose, day (D)60, D150 and D270 after second dose, were tested for anti-spike antibody (ASAb) titre and neutralising antibody (%) (NAb) using Elecsys Anti-SARS-CoV-2 S (Roche) and SARS-CoV-2 NAb ELISA Kit (Invitrogen), respectively. Data are expressed as proportions and median (interquartile range) and compared using non-parametric (iii) Result: Among 135 HCWs (83 males; age 45 (37−53); 36 had pre-existing ASAb), 29 (21.5%) acquired COVID-19 after 60 (39−68) days of vaccination. ASAb titre before second dose and at D60, D150, D270 were 77.2 (19.4−329.4), 512 (114.5−9212), 149 (51.6−2283) and 2079 (433.9−8644) U/mL, respectively. Compared to those without pre-existing ASAb, titres were significantly higher before second dose (5929 vs. 41, p < 0.001), D60 (3395 vs. 234, p = 0.007) and D150 (1805 vs. 103, p < 0.001) in participants with pre-existing ASAb; NAb were also higher (80 vs. 18, p < 0.001) before second dose. Between those who acquired infection or not after vaccination, ASAb titres were comparable before second dose (77 vs. 78, p = 0.362) but significantly higher at D60 (14,019 vs. 317, p < 0.001) and D150 (2062 vs. 121, p = 0.002) in the former group, though NAb percentage were higher at D60 (87 vs. 27, p < 0.001) and D150 (79 vs. 25, p = 0.007) only (iv) Conclusions: Covishield® induces a higher antibody titre in those with pre-existing ASAb. The vaccine induced antibody starts falling 5 months after vaccination.

摘要

(i)背景:ChAdOx1 nCoV-19(Covishield®)疫苗在印度广泛使用。我们研究了Covishield®在医护人员(HCWs)中诱导的抗体反应及其持久性。(ii)方法:医护人员间隔四周接种两剂(0.5毫升)。在每次接种前、第二剂接种后第60天(D60)、第150天(D150)和第270天(D270)采集血液样本,分别使用Elecsys Anti-SARS-CoV-2 S(罗氏公司)和SARS-CoV-2中和抗体ELISA试剂盒(英杰公司)检测抗刺突抗体(ASAb)滴度和中和抗体(%)(NAb)。数据以比例和中位数(四分位间距)表示,并使用非参数方法进行比较。(iii)结果:在135名医护人员中(83名男性;年龄45岁(37 - 53岁);36人已有ASAb),29人(21.5%)在接种疫苗60天(39 - 68天)后感染了新冠病毒。第二剂接种前、D60、D150、D270时的ASAb滴度分别为77.2(19.4 - 329.4)、512(114.5 - 9212)、149(51.6 - 2283)和2079(433.9 - 8644)U/mL。与没有预先存在ASAb的人相比,已有ASAb的参与者在第二剂接种前(5929对41,p < 0.001)、D60(3395对234,p = 0.007)和D150(1805对103,p < 0.001)时的滴度显著更高;第二剂接种前的NAb也更高(80对18,p < 0.001)。在接种疫苗后是否感染的人群中,第二剂接种前的ASAb滴度相当(77对78,p = 0.362),但在前者组中,D60(14,019对317,p < 0.001)和D150(2062对121,p = 0.002)时显著更高,不过仅在D60(87对27,p < 0.001)和D150(79对25,p = 0.007)时NAb百分比更高。(iv)结论:Covishield®在已有ASAb的人群中诱导出更高的抗体滴度。疫苗诱导的抗体在接种后5个月开始下降。

https://cdn.ncbi.nlm.nih.gov/pmc/blobs/a0f4/9863895/f4f1d40d0515/vaccines-11-00084-g001.jpg

文献AI研究员

20分钟写一篇综述,助力文献阅读效率提升50倍。

立即体验

用中文搜PubMed

大模型驱动的PubMed中文搜索引擎

马上搜索

文档翻译

学术文献翻译模型,支持多种主流文档格式。

立即体验