Suppr超能文献

分娩时硬膜外麻醉的暴露时长、脐带血中的DNA甲基化及其与非西班牙裔黑人女性后代哮喘的关联

Duration of exposure to epidural anesthesia at delivery, DNA methylation in umbilical cord blood and their association with offspring asthma in Non-Hispanic Black women.

作者信息

Wang Yaxu, Tzeng Jung-Ying, Huang Yueyang, Maguire Rachel, Hoyo Cathrine, Allen Terrence K

机构信息

Bioinformatics Research Center, North Carolina State University, Raleigh, NC 27607, USA.

Center for Human Health and the Environment, North Carolina State University, Raleigh, NC 27695-7633, USA.

出版信息

Environ Epigenet. 2022 Dec 13;9(1):dvac026. doi: 10.1093/eep/dvac026. eCollection 2023.

Abstract

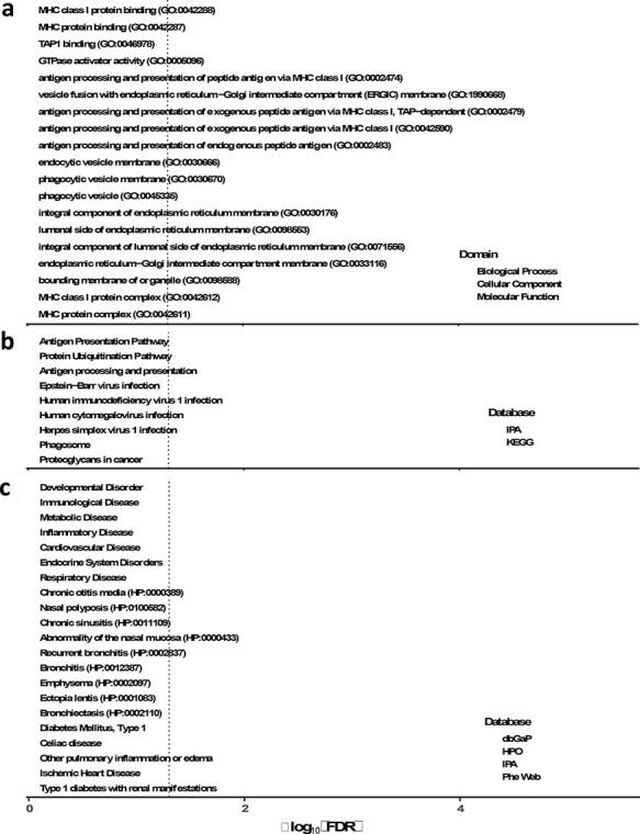
Epidural anesthesia is an effective pain relief modality, widely used for labor analgesia. Childhood asthma is one of the commonest chronic medical illnesses in the USA which places a significant burden on the health-care system. We recently demonstrated a negative association between the duration of epidural anesthesia and the development of childhood asthma; however, the underlying molecular mechanisms still remain unclear. In this study of 127 mother-child pairs comprised of 75 Non-Hispanic Black (NHB) and 52 Non-Hispanic White (NHW) from the Newborn Epigenetic Study, we tested the hypothesis that umbilical cord blood DNA methylation mediates the association between the duration of exposure to epidural anesthesia at delivery and the development of childhood asthma and whether this differed by race/ethnicity. In the mother-child pairs of NHB ancestry, the duration of exposure to epidural anesthesia was associated with a marginally lower risk of asthma (odds ratio = 0.88, 95% confidence interval = 0.76-1.01) for each 1-h increase in exposure to epidural anesthesia. Of the 20 CpGs in the NHB population showing the strongest mediation effect, 50% demonstrated an average mediation proportion of 52%, with directional consistency of direct and indirect effects. These top 20 CpGs mapped to 21 genes enriched for pathways engaged in antigen processing, antigen presentation, protein ubiquitination and regulatory networks related to the Major Histocompatibility Complex (MHC) class I complex and Nuclear Factor Kappa-B () complex. Our findings suggest that DNA methylation in immune-related pathways contributes to the effects of the duration of exposure to epidural anesthesia on childhood asthma risk in NHB offspring.

摘要

硬膜外麻醉是一种有效的疼痛缓解方式,广泛用于分娩镇痛。儿童哮喘是美国最常见的慢性疾病之一,给医疗保健系统带来了沉重负担。我们最近证明了硬膜外麻醉持续时间与儿童哮喘发生之间存在负相关;然而,其潜在的分子机制仍不清楚。在这项对127对母婴的研究中,这些母婴来自新生儿表观遗传学研究中的75名非西班牙裔黑人(NHB)和52名非西班牙裔白人(NHW),我们检验了以下假设:脐带血DNA甲基化介导了分娩时硬膜外麻醉暴露持续时间与儿童哮喘发生之间的关联,以及这种关联是否因种族/族裔而异。在NHB血统的母婴对中,硬膜外麻醉暴露持续时间每增加1小时,哮喘风险略有降低(优势比=0.88,95%置信区间=0.76-1.01)。在NHB人群中显示出最强中介效应的20个CpG中,50%的平均中介比例为52%,直接效应和间接效应具有方向一致性。这前20个CpG映射到21个基因,这些基因富集于参与抗原加工、抗原呈递、蛋白质泛素化以及与主要组织相容性复合体(MHC)I类复合体和核因子κB()复合体相关的调控网络的途径。我们的研究结果表明,免疫相关途径中的DNA甲基化有助于硬膜外麻醉暴露持续时间对NHB后代儿童哮喘风险的影响。

https://cdn.ncbi.nlm.nih.gov/pmc/blobs/db28/9854336/387df611359c/dvac026f1.jpg

文献AI研究员

20分钟写一篇综述,助力文献阅读效率提升50倍。

立即体验

用中文搜PubMed

大模型驱动的PubMed中文搜索引擎

马上搜索

文档翻译

学术文献翻译模型,支持多种主流文档格式。

立即体验