Suppr超能文献

使用免疫疗法的非小细胞肺癌患者生存的种族差异调查:一项德克萨斯州的研究。

Investigation of racial differences in survival from non-small cell lung cancer with immunotherapy use: A Texas study.

作者信息

Olateju Olajumoke A, Zeng Zhen, Adenaiye Oluwasanmi O, Varisco Tyler J, Zakeri Marjan, Sujit Sansgiry S

机构信息

Department of Pharmaceutical Health Outcomes and Policy, University of Houston College of Pharmacy, Houston, TX, United States.

Department of Medicine and Rehabilitation Science, University of Pittsburgh Medical Center, Pittsburgh, PA, United States.

出版信息

Front Oncol. 2023 Jan 9;12:1092355. doi: 10.3389/fonc.2022.1092355. eCollection 2022.

Abstract

BACKGROUND

The use of immunotherapy is associated with improved survival among patients with Non-Small Cell Lung Cancer (NSCLC) and has gained widespread use in its management. However, there is limited information on whether the survival benefits associated with immunotherapy differ among races and ethnicities.

OBJECTIVE

This study aimed to investigate racial differences in survival amongst patients with NSCLC who received immunotherapy as the first-line treatment in Texas.

METHODS

Patients with NSCLC who received immunotherapy between October 2015 to December 2018 were identified from the Texas Cancer Registry (TCR). Disease-specific survival was evaluated and compared among patients across racial/ethnic categories using the Kaplan-Meier survival analysis, log-rank test, and a multivariable Cox proportional hazard regression model following an inverse probability treatment weighting (IPTW) propensity score analysis.

RESULTS

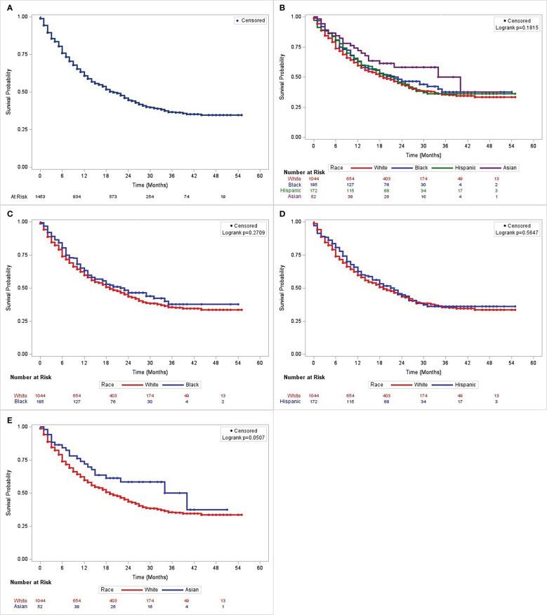
A total of 1453 patients were included in the analysis. Median survival (in months) was longest among Asians (34, 95% CI: 15-Not Estimable), followed by African Americans (AAs) (23, 95% CI: 15-34), Hispanics (22, 95% CI: 16-26), and Whites (19, 95% CI: 17-22). The adjusted regression estimates had no statistically significant differences in survival among AAs (aHR = 0.97; 95% CI = 0.78-1.20; P =0.77) and Hispanics (aHR = 0.96; 95% CI = 0.77-1.19, P =0.73) when compared to White patients. Asians on the other hand, had 40% reduction in mortality risk compared to Whites (aHR = 0.60; 95% CI = 0.39-0.94, P = 0.03).

CONCLUSIONS

Our study indicated that African Americans and Hispanics do not have poorer survival compared to White patients when receiving immunotherapy as first-line treatment. Asians however had longer survival compared to Whites. Our findings suggest that existing racial disparity in NSCLC survival might be mitigated with the use of immunotherapy and should be considered in providing care to these minority groups.

摘要

背景

免疫疗法的使用与非小细胞肺癌(NSCLC)患者生存率的提高相关,并在其治疗中得到广泛应用。然而,关于免疫疗法带来的生存益处是否因种族和民族而异的信息有限。

目的

本研究旨在调查在德克萨斯州接受免疫疗法作为一线治疗的NSCLC患者的生存种族差异。

方法

从德克萨斯癌症登记处(TCR)中识别出2015年10月至2018年12月期间接受免疫疗法的NSCLC患者。在进行逆概率处理加权(IPTW)倾向评分分析后,使用Kaplan-Meier生存分析、对数秩检验和多变量Cox比例风险回归模型对不同种族/民族类别的患者进行疾病特异性生存评估和比较。

结果

共有1453名患者纳入分析。亚洲人的中位生存期(以月为单位)最长(34,95%CI:15 - 不可估计),其次是非洲裔美国人(AA)(23,95%CI:15 - 34)、西班牙裔(22,95%CI:16 - 26)和白人(19,95%CI:17 - 22)。与白人患者相比,调整后的回归估计显示,非洲裔美国人(aHR = 0.97;95%CI = 0.78 - 1.20;P = 0.77)和西班牙裔(aHR = 0.96;95%CI = 0.7

https://cdn.ncbi.nlm.nih.gov/pmc/blobs/dc03/9869031/6d88647dedd3/fonc-12-1092355-g001.jpg

文献AI研究员

20分钟写一篇综述,助力文献阅读效率提升50倍。

立即体验

用中文搜PubMed

大模型驱动的PubMed中文搜索引擎

马上搜索

文档翻译

学术文献翻译模型,支持多种主流文档格式。

立即体验