Suppr超能文献

预测原发性颅内恶性淋巴瘤患者总生存期和癌症特异性生存期的列线图的开发与验证:一项基于监测、流行病学和最终结果(SEER)数据库的回顾性研究

Development and validation of a nomogram to predict overall survival and cancer-specific survival in patients with primary intracranial malignant lymphoma: A Retrospective study based on the SEER database.

作者信息

Yang Ziyue, Li Zhenfen, Fu Chunmeng, Zhu Yuanyuan, Lin Ying, Deng Ying, Li Ning, Peng Fang

机构信息

Department of Blood Transfusion, Xiangya Hospital, Central South University, Changsha, Hunan, China.

National Health Commission (NHC) key Laboratory of Cancer Proteomics, Xiangya Hospital, Central South University, Changsha, Hunan, China.

出版信息

Front Oncol. 2023 Jan 9;12:1055046. doi: 10.3389/fonc.2022.1055046. eCollection 2022.

Abstract

INTRODUCTION

Primary intracranial malignant lymphoma (PIML) is a rare form of lymphoma that most often occurs in the brain and has an extremely low 5-year survival rate. Although chemotherapy and radiotherapy are widely used in the clinical management of PIML, the choice of treatment regimen and the actual circumstances of patients remain challenges when assessing survival rates in different patients.

METHODS

Considering this, we obtained clinical treatment and survival information from the Surveillance, Epidemiology, and End Results database (SEER) on patients with lymphoma, the primary site of which was the brain, and performed statistical analyses of the demographic characteristics. Survival analyses were performed using the Kaplan-Meier method, and univariate and multivariate Cox proportional hazards regression analyses were performed to identify independent prognostic factors.

RESULT

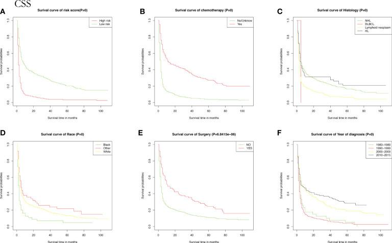
We identified age, pathology, the Ann Arbor stage, and treatment as the risk factors affecting patient prognosis. The areas under the curve (AUCs) for overall survival at 1, 3, and 5 years were 0.8, 0.818, and 0.81, respectively. The AUCs for cancer-specific survival at 1, 3, and 5 years were 0.8, 0.79, and 0.79. The prediction ability in the development and verification cohorts was in good agreement with the actual values, while we plotted the clinical decision curves for the model, suggesting that the nomogram can provide benefits for clinical decision-making.

CONCLUSION

Our model provides a prognostic guide for patients with PIML and a reliable basis for clinicians.

摘要

引言

原发性颅内恶性淋巴瘤(PIML)是一种罕见的淋巴瘤形式,最常发生于脑部,5年生存率极低。尽管化疗和放疗在PIML的临床治疗中广泛应用,但在评估不同患者的生存率时,治疗方案的选择和患者的实际情况仍然是挑战。

方法

考虑到这一点,我们从监测、流行病学和最终结果数据库(SEER)中获取了淋巴瘤患者的临床治疗和生存信息,这些患者的原发部位为脑部,并对人口统计学特征进行了统计分析。采用Kaplan-Meier方法进行生存分析,并进行单因素和多因素Cox比例风险回归分析以确定独立的预后因素。

结果

我们确定年龄、病理、Ann Arbor分期和治疗为影响患者预后的危险因素。1年、3年和5年总生存的曲线下面积(AUC)分别为0.8、0.818和0.81。1年、3年和5年癌症特异性生存的AUC分别为0.8、0.79和0.79。在开发和验证队列中的预测能力与实际值高度一致,同时我们绘制了该模型的临床决策曲线,表明列线图可为临床决策提供帮助。

结论

我们的模型为PIML患者提供了预后指导,并为临床医生提供了可靠依据。

https://cdn.ncbi.nlm.nih.gov/pmc/blobs/35a3/9868835/8b880d92bef7/fonc-12-1055046-g001.jpg

文献AI研究员

20分钟写一篇综述,助力文献阅读效率提升50倍。

立即体验

用中文搜PubMed

大模型驱动的PubMed中文搜索引擎

马上搜索

文档翻译

学术文献翻译模型,支持多种主流文档格式。

立即体验