Suppr超能文献

大黄酸治疗糖尿病:药理学与作用机制概述

Rhein for treating diabetes mellitus: A pharmacological and mechanistic overview.

作者信息

Deng Tingting, Du Jinxin, Yin Ying, Cao Baorui, Wang Zhiying, Zhang Zhongwen, Yang Meina, Han Jinxiang

机构信息

Affiliated Hospital of Shandong University of Traditional Chinese Medicine, Jinan, China.

NHC Key Laboratory of Biotechnology Drugs (Shandong Academy of Medical Sciences), Biomedical Sciences College, Shandong First Medical University, Jinan, China.

出版信息

Front Pharmacol. 2023 Jan 9;13:1106260. doi: 10.3389/fphar.2022.1106260. eCollection 2022.

Abstract

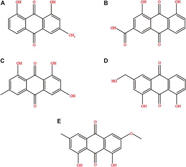
With the extension of life expectancy and changes in lifestyle, the prevalence of diabetes mellitus is increasing worldwide. L. a natural botanical medicine, has been used for thousands of years to prevent and treat diabetes mellitus in Eastern countries. Rhein, the main active component of rhubarb, is a 1, 8-dihydroxy anthraquinone derivative. Previous studies have extensively explored the clinical application of rhein. However, a comprehensive review of the antidiabetic effects of rhein has not been conducted. This review summarizes studies published over the past decade on the antidiabetic effects of rhein, covering the biological characteristics of and the pharmacological effects and pharmacokinetic characteristics of rhein. The review demonstrates that rhein can prevent and treat diabetes mellitus by ameliorating insulin resistance, possess anti-inflammatory and anti-oxidative stress properties, and protect islet cells, thus providing a theoretical basis for the application of rhein as an antidiabetic agent.

摘要

随着预期寿命的延长和生活方式的改变,糖尿病在全球的患病率正在上升。大黄,一种天然植物药,在东方国家已被用于预防和治疗糖尿病数千年。大黄素是大黄的主要活性成分,是一种1,8 - 二羟基蒽醌衍生物。先前的研究广泛探索了大黄素的临床应用。然而,尚未对大黄素的抗糖尿病作用进行全面综述。本综述总结了过去十年发表的关于大黄素抗糖尿病作用的研究,涵盖大黄的生物学特性以及大黄素的药理作用和药代动力学特征。该综述表明,大黄素可通过改善胰岛素抵抗来预防和治疗糖尿病,具有抗炎和抗氧化应激特性,并保护胰岛细胞,从而为大黄素作为抗糖尿病药物的应用提供理论依据。

https://cdn.ncbi.nlm.nih.gov/pmc/blobs/07ba/9868719/2b2d4badc85e/fphar-13-1106260-g001.jpg

文献AI研究员

20分钟写一篇综述,助力文献阅读效率提升50倍。

立即体验

用中文搜PubMed

大模型驱动的PubMed中文搜索引擎

马上搜索

文档翻译

学术文献翻译模型,支持多种主流文档格式。

立即体验