Suppr超能文献

转移性结直肠癌中每周与每两周一次西妥昔单抗给药的真实世界比较。

Real-world comparison between weekly versus biweekly dosing of cetuximab for metastatic colorectal cancer.

机构信息

Eli Lilly and Company, 893 S Delaware St., Indianapolis, IN 46225, USA.

出版信息

J Comp Eff Res. 2023 Feb;12(2):e220143. doi: 10.2217/cer-2022-0143. Epub 2023 Jan 27.

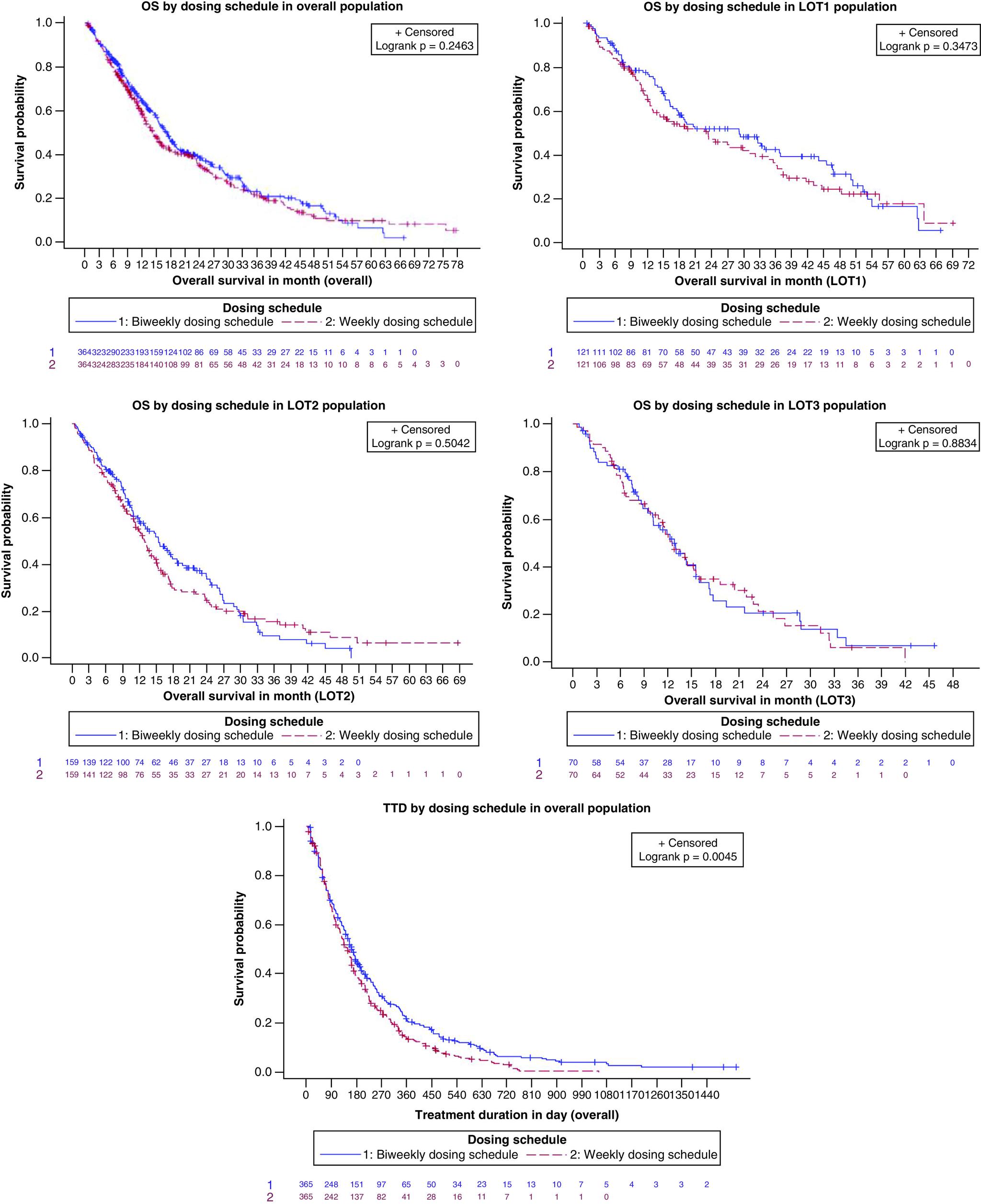
Abstract

This real-world study aims to compare overall survival (OS) associated with biweekly (Q2W) versus weekly (Q1W) cetuximab dosing regimens for metastatic colorectal cancer (mCRC) treatment in the US. Adult patients with wild-type mCRC who received cetuximab ± chemotherapy from 2013 to 2019 were selected using Flatiron Health's electronic health records database. Propensity score matching was used to balance Q2W and Q1W cohorts on baseline patient characteristics. The Kaplan-Meier method was used for survival analyses. Several sensitivity analyses were conducted to assess the robustness of findings from the main analysis. Of 1075 patients in the study, 60.7% received cetuximab Q1W and 39.3% Q2W. Median OS (95% confidence interval) in months was 17.2 (15.3, 18.8) for Q2W versus 14.3 (12.8, 16.0) for Q1W; p = 0.246. Similar OS between the dosing cohorts was observed in sensitivity analyses. Weekly and biweekly cetuximab had comparable effectiveness in this real-world study.

摘要

这项真实世界研究旨在比较接受西妥昔单抗治疗的转移性结直肠癌(mCRC)患者中,每两周(Q2W)与每周(Q1W)方案的总生存期(OS)。研究采用 Flatiron Health 的电子病历数据库,选取 2013 年至 2019 年期间接受西妥昔单抗±化疗的野生型 mCRC 成年患者。采用倾向评分匹配法平衡 Q2W 和 Q1W 队列的基线患者特征。采用 Kaplan-Meier 法进行生存分析。进行了几项敏感性分析,以评估主要分析结果的稳健性。在这项研究的 1075 名患者中,60.7%接受了西妥昔单抗 Q1W 治疗,39.3%接受了 Q2W 治疗。Q2W 组的中位 OS(95%置信区间)为 17.2(15.3,18.8)个月,Q1W 组为 14.3(12.8,16.0)个月;p=0.246。在敏感性分析中,两种剂量方案之间的 OS 相似。在这项真实世界研究中,每周和每两周给予西妥昔单抗的疗效相当。

https://cdn.ncbi.nlm.nih.gov/pmc/blobs/1656/10288952/cab1cf33e709/cer-12-220143-g1.jpg

文献AI研究员

20分钟写一篇综述,助力文献阅读效率提升50倍。

立即体验

用中文搜PubMed

大模型驱动的PubMed中文搜索引擎

马上搜索

文档翻译

学术文献翻译模型,支持多种主流文档格式。

立即体验