Suppr超能文献

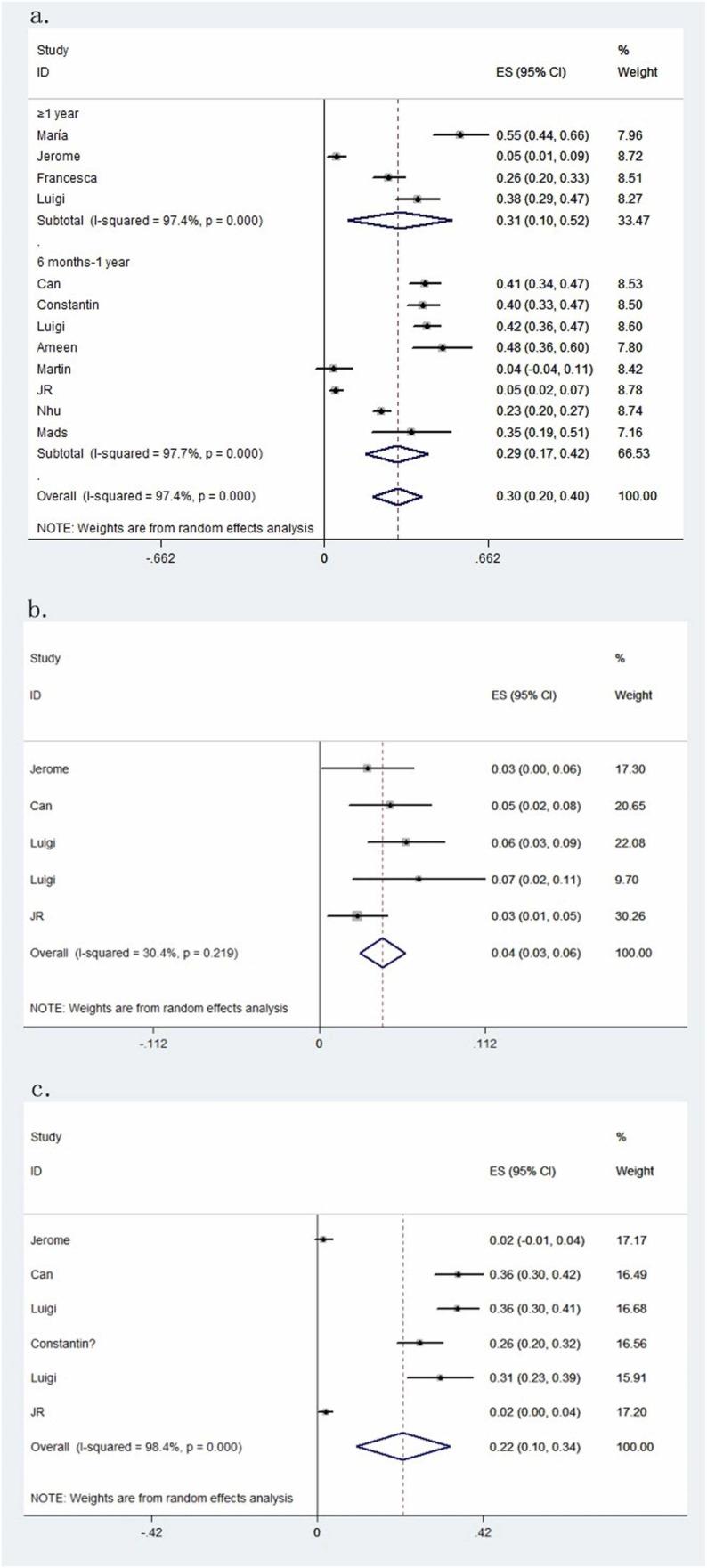
Olfactory dysfunction after COVID-19: metanalysis reveals persistence in one-third of patients 6 months after initial infection.

作者信息

Hu Siqi, Zhang Shenghui, You Yao, Tang Jiake, Chen Chen, Wang Chunyi, Wen Wen, Wang Mingwei, Chen Juan, Luo Lin, Cheng Yongran, Zhou Mengyun, Zhao Xuezhi, Tan Tao, Qi Guanming, Feng Zhanhui

机构信息

Department of Cardiology, Affiliated Hospital of Hangzhou Normal University, Hangzhou Normal University, Hangzhou Institute of Cardiovascular Diseases, Hangzhou 310015, China; Hangzhou Lin'an Fourth People's Hospital, Hangzhou 311321, China.

Department of Cardiology, Affiliated Hospital of Hangzhou Normal University, Hangzhou Normal University, Hangzhou Institute of Cardiovascular Diseases, Hangzhou 310015, China; Hangzhou Lin'an Fourth People's Hospital, Hangzhou 311321, China.

出版信息

J Infect. 2023 May;86(5):516-519. doi: 10.1016/j.jinf.2023.01.041. Epub 2023 Feb 10.

Abstract
摘要
https://cdn.ncbi.nlm.nih.gov/pmc/blobs/62f4/9911154/335565eb056f/gr1_lrg.jpg

文献AI研究员

20分钟写一篇综述,助力文献阅读效率提升50倍。

立即体验

用中文搜PubMed

大模型驱动的PubMed中文搜索引擎

马上搜索

文档翻译

学术文献翻译模型,支持多种主流文档格式。

立即体验