Suppr超能文献

海底生境是否影响海洋保护区沿海沉积物中微塑料的分布?

Are seafloor habitats influencing the distribution of microplastics in coastal sediments of a Marine Protected Area?

机构信息

Centro Oceanográfico de Baleares (IEO, CSIC), Muelle de Poniente s/n, 07015, Palma de Mallorca, Spain.

出版信息

Environ Sci Pollut Res Int. 2023 Apr;30(17):49875-49888. doi: 10.1007/s11356-023-25536-1. Epub 2023 Feb 14.

Abstract

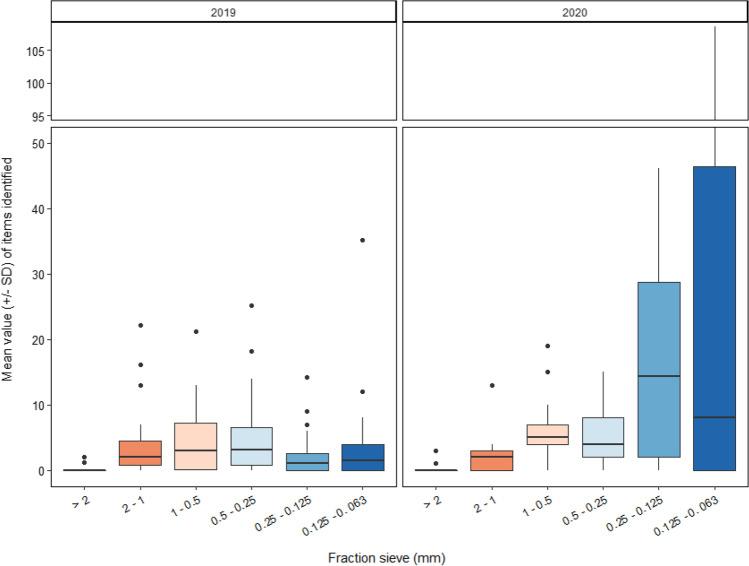
The marine environment is affected by the increasing presence of microplastics (MPs; < 5 mm), and the seafloor acts as a sink for these particles. Locations with different predominant seafloor habitat and protection level applied were selected from Cabrera Marine-Terrestrial National Park (henceforth, Cabrera MPA) (western Mediterranean Sea) with the aim to assess the distribution of MPs along the sediments of this Mediterranean MPA. A total of 37 samples were collected. A high diversity of sediment between locations was detected according to the Udden-Wentworth classification and locations were clustered into two main groups according to the predominance of different particle size fractions. The identification of MPs was carried out according to the sediment particle size classification. A total of 1431 MPs and a mean value (± SD) of 314.53 ± 409.94 items kg D.W. were identified, and 70% of the particles were fibers. Statistically higher abundances of MPs were found in sediments collected from sandy habitats, with a mean value of 630.80 ± 636.87 items kg D.W., compared to the abundances of MPs found in locations with different predominant seafloor habitats, that ranged from 136.79 ± 156.33 items kg D.W. in habitats with similar predominance of seagrass and sand to 223.02 ± 113.35 items kg D.W. in habitats with similar predominance of rocks and sand. The abundance of MPs regarding each sediment particle size fraction differed between years and locations, and the abundance of MPs according to each identified shape differed between sampling years, particle size fraction, and predominant seafloor habitat. The present study highlights the ubiquitous presence of MPs in seafloor sediments from a MPA. Furthermore, the results suggest that the predominant seafloor habitat can modulate the presence of MPs in marine environments in both general abundances and shape of items.

摘要

海洋环境受到越来越多的微塑料(MPs;<5 毫米)的影响,海底是这些颗粒的汇。从卡布雷拉海洋-陆地国家公园(下文简称卡布雷拉海洋保护区)选择了具有不同主要海底栖息地和保护水平的位置,目的是评估这些地中海海洋保护区沉积物中 MPs 的分布。共采集了 37 个样本。根据 Udden-Wentworth 分类法,检测到不同位置之间的沉积物多样性很高,根据不同粒径分数的优势,将位置聚类为两个主要组。根据沉积物粒径分类,对 MPs 进行了鉴定。共鉴定出 1431 个 MPs,平均(±SD)值为 314.53 ± 409.94 个项目 kg D.W.,其中 70%的颗粒为纤维。与不同主要海底栖息地位置的 MPs 丰度相比,从沙质生境中采集的沉积物中发现的 MPs 丰度更高,平均值为 630.80 ± 636.87 个项目 kg D.W.,而在具有类似海草和沙质生境的主要栖息地位置的 MPs 丰度范围为 136.79 ± 156.33 个项目 kg D.W.至具有类似岩石和沙质生境的主要栖息地位置的 223.02 ± 113.35 个项目 kg D.W.。不同位置和年份之间,每个沉积物粒径分数的 MPs 丰度不同,根据每个鉴定出的形状,每个采样年份、粒径分数和主要海底栖息地的 MPs 丰度也不同。本研究强调了海洋保护区海底沉积物中无处不在的 MPs 存在。此外,研究结果表明,主要海底栖息地可以调节海洋环境中 MPs 的存在,无论是在总体丰度还是颗粒形状方面。

https://cdn.ncbi.nlm.nih.gov/pmc/blobs/dfff/10104931/68f65acb6ad6/11356_2023_25536_Fig1_HTML.jpg

文献AI研究员

20分钟写一篇综述,助力文献阅读效率提升50倍。

立即体验

用中文搜PubMed

大模型驱动的PubMed中文搜索引擎

马上搜索

文档翻译

学术文献翻译模型,支持多种主流文档格式。

立即体验