Suppr超能文献

两种用于检测猪流行性腹泻病毒血清中和抗体的诊断检测方法的比较

Comparison of Two Diagnostic Assays for the Detection of Serum Neutralizing Antibody to Porcine Epidemic Diarrhea Virus.

作者信息

Brown Justin, Poonsuk Korakrit, Cheng Ting-Yu, Rademacher Chris, Kalkwarf Erin, Tian Liying, McKeen Lauren A, Wang Chong, Gimenez-Lirola Luis, Baum David, Karriker Locke A

机构信息

Swine Medicine Education Center, College of Veterinary Medicine, Iowa State University, Ames, IA 50011, USA.

Nebraska Veterinary Diagnostic Center, University of Nebraska-Lincoln, Lincoln, NE 68588, USA.

出版信息

Animals (Basel). 2023 Feb 20;13(4):757. doi: 10.3390/ani13040757.

Abstract

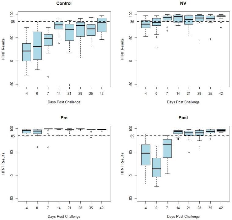
Lactogenic immunity is important for the protection of piglets against many pathogens including porcine epidemic diarrhea virus. Circulating neutralizing antibodies levels in sow sera may help determine if a detectable immune response could confer protection to piglets. Neutralizing antibodies can be detected through various diagnostic assays. This study evaluated the diagnostic characteristics of two neutralizing antibody assays for porcine epidemic diarrhea virus neutralizing antibodies in serum of challenged gilts. Four treatment groups, control, non-vaccinated, vaccinated prior to challenge, and vaccinated following challenge, were comprised of 20 gilts. Serum sample were collected from each gilt prior to and following challenge with porcine epidemic diarrhea virus. Samples were evaluated for the presence of neutralizing antibodies via a fluorescent focus neutralization assay and a high-throughput neutralization assay. Diagnostic sensitivity and specificity for the fluorescent focus neutralization and high-throughput neutralization assays for this study were optimized at a cutoff of a dilution of 80 and 80% fluorescent reduction respectively and demonstrated moderate agreement based off the kappa statistic. The focus fluorescent neutralization and high-throughput neutralization assays can be used to monitor the status of neutralizing antibodies within animals or a population of animals. The high-throughput assay has advantages over the focus fluorescent assay in that it has a higher specificity at the indicated cut-off and the nature of the results allows for more discrimination between individual results.

摘要

泌乳免疫对于保护仔猪抵御包括猪流行性腹泻病毒在内的多种病原体至关重要。母猪血清中循环中和抗体水平可能有助于确定可检测到的免疫反应是否能为仔猪提供保护。中和抗体可通过各种诊断检测方法进行检测。本研究评估了两种针对受攻击后备母猪血清中猪流行性腹泻病毒中和抗体的中和抗体检测方法的诊断特征。四个处理组,即对照组、未接种疫苗组、攻击前接种疫苗组和攻击后接种疫苗组,每组由20头后备母猪组成。在猪流行性腹泻病毒攻击前后,从每头后备母猪采集血清样本。通过荧光灶中和试验和高通量中和试验评估样本中中和抗体的存在情况。本研究中荧光灶中和试验和高通量中和试验的诊断敏感性和特异性分别在稀释度为80和荧光减少80%的临界值下进行了优化,并根据kappa统计量显示出中度一致性。荧光灶中和试验和高通量中和试验可用于监测动物个体或动物群体内中和抗体的状态。高通量试验相对于荧光灶试验的优势在于,在指定的临界值下它具有更高的特异性,并且结果的性质允许对个体结果进行更多区分。

https://cdn.ncbi.nlm.nih.gov/pmc/blobs/1537/9951927/4404081d33a6/animals-13-00757-g001.jpg

文献AI研究员

20分钟写一篇综述,助力文献阅读效率提升50倍。

立即体验

用中文搜PubMed

大模型驱动的PubMed中文搜索引擎

马上搜索

文档翻译

学术文献翻译模型,支持多种主流文档格式。

立即体验