Suppr超能文献

了解新冠疫情大流行期间大学生中 CalFresh 参与和粮食不安全对学业成果的影响。

Understanding the Role of CalFresh Participation and Food Insecurity on Academic Outcomes among College Students during the COVID-19 Pandemic.

机构信息

Department of Nutrition, University of California, Davis 1 Shields Ave, Davis, CA 95616, USA.

CalFresh Healthy Living, University of California, 1632 DaVinci Court #31, Davis, CA 95618, USA.

出版信息

Nutrients. 2023 Feb 10;15(4):898. doi: 10.3390/nu15040898.

Abstract

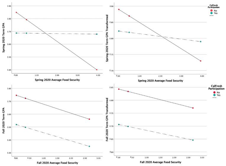
Food insecurity (FI) is associated with many adverse outcomes in college students. The Supplemental Nutrition Assistance Program (SNAP, known as CalFresh in California) has been observed to alleviate FI; however, on college campuses, the benefits of food assistance programs are not well understood. This study investigated whether college students benefit from CalFresh participation. It was hypothesized that students would experience increased FI over time and that CalFresh participation would moderate the effect of FI on grade point average (GPA). A comprehensive FI and CalFresh questionnaires were distributed during the 2020-2021 academic year to 849 students. The chi-square test of independence assessed differences between FI and student factors. A Friedman test assessed differences in FI during the three quarters. Moderation analysis assessed whether CalFresh participation moderated FI's effect on GPA. Differences were observed among food security scores in Winter 2021 (median = 1.69) and Fall 2020 (median = 2.14; = 0.013) and Spring 2020 (median = 2.17; = 0.009). In the moderation model, the interaction of FI score and CalFresh participation was positively correlated with GPA (B = 0.11; = 0.002). These results indicate that SNAP/CalFresh participation was particularly beneficial for mitigating the negative effects of FI on GPA. Given these benefits, encouraging SNAP/CalFresh enrollment should be a priority for university administrators.

摘要

食物不安全(FI)与大学生的许多不良后果有关。已观察到补充营养援助计划(SNAP,在加利福尼亚称为 CalFresh)可以减轻 FI;然而,在大学校园里,人们对食品援助计划的好处并不了解。本研究调查了大学生是否从 CalFresh 参与中受益。研究假设学生的 FI 会随着时间的推移而增加,而 CalFresh 的参与将缓和 FI 对平均绩点(GPA)的影响。在 2020-2021 学年期间,向 849 名学生发放了综合 FI 和 CalFresh 问卷。独立性卡方检验评估了 FI 和学生因素之间的差异。Friedman 检验评估了三个季度期间 FI 的差异。调节分析评估了 CalFresh 的参与是否调节了 FI 对 GPA 的影响。在 2021 年冬季(中位数=1.69)和 2020 年秋季(中位数=2.14; = 0.013)和 2020 年春季(中位数=2.17; = 0.009)的食品安全得分中观察到差异。在调节模型中,FI 得分和 CalFresh 参与的交互作用与 GPA 呈正相关(B=0.11; = 0.002)。这些结果表明,SNAP/CalFresh 的参与对于缓解 FI 对 GPA 的负面影响特别有益。鉴于这些好处,鼓励 SNAP/CalFresh 的参与应该是大学管理者的优先事项。

https://cdn.ncbi.nlm.nih.gov/pmc/blobs/86da/9964191/36ede84d0926/nutrients-15-00898-g0A1.jpg

文献AI研究员

20分钟写一篇综述,助力文献阅读效率提升50倍。

立即体验

用中文搜PubMed

大模型驱动的PubMed中文搜索引擎

马上搜索

文档翻译

学术文献翻译模型,支持多种主流文档格式。

立即体验