Suppr超能文献

多糖调节免疫功能低下小鼠的免疫和肠道菌群。

Polysaccharides Modulate Immunity and Gut Microbiota in Immunocompromised Mice.

机构信息

Jiangxi Province Key Laboratory of Animal Nutrition, College of Animal Science and Technology, Jiangxi Agricultural University, Nanchang 330045, China.

Jiangxi Key Laboratory of Natural Products and Functional Food, College of Food Science and Engineering, Jiangxi Agricultural University, Nanchang 330045, China.

出版信息

Oxid Med Cell Longev. 2023 Feb 15;2023:6208680. doi: 10.1155/2023/6208680. eCollection 2023.

Abstract

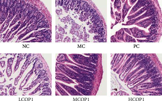
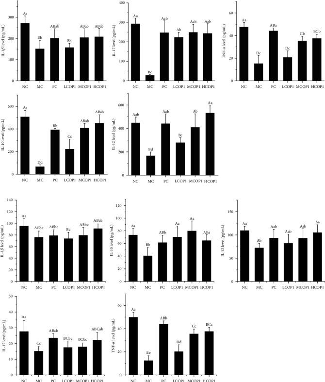
To investigate the immunomodulatory activities of polysaccharides (COP1), an immunosuppressive mouse model was generated by cyclophosphamide (CY) administration and then treated with COP1. The results demonstrated that COP1 ameliorated the body weight and immune organ (spleen and thymus) index of mice and improved the pathological changes of the spleen and ileum induced by CY. COP1 strongly stimulated the production of inflammatory cytokines (IL-10, IL-12, IL-17, IL-1, and TNF-) of the spleen and ileum by promoting the mRNA expressions. Furthermore, COP1 had immunomodulatory activity by increasing several transcription factors (JNK, ERK, and P38) in the mitogen-activated protein kinase (MAPK) signaling pathway. Related to the above immune stimulatory effects, COP1 positively affected the production of short-chain fatty acids (SCFAs) and the expression of ileum tight junction (TJ) protein (ZO-1, Occludin-1, and Claudin-1), upregulated the level of secretory immunoglobulin A (SIgA) in the ileum and microbiota diversity and composition, and improved intestinal barrier function. This study suggests that COP1 may provide an alternative strategy for alleviating chemotherapy-induced immunosuppression.

摘要

为了研究多糖(COP1)的免疫调节活性,采用环磷酰胺(CY)给药建立了免疫抑制小鼠模型,并用 COP1 进行治疗。结果表明,COP1 改善了小鼠的体重和免疫器官(脾脏和胸腺)指数,并改善了 CY 诱导的脾脏和回肠的病理变化。COP1 通过促进脾和回肠中几种炎症细胞因子(IL-10、IL-12、IL-17、IL-1 和 TNF-)的 mRNA 表达,强烈刺激其产生。此外,COP1 通过增加丝裂原激活蛋白激酶(MAPK)信号通路中的几个转录因子(JNK、ERK 和 P38)发挥免疫调节活性。与上述免疫刺激作用有关,COP1 可促进短链脂肪酸(SCFAs)的产生和回肠紧密连接(TJ)蛋白(ZO-1、Occludin-1 和 Claudin-1)的表达,上调回肠分泌型免疫球蛋白 A(SIgA)水平和微生物群落多样性和组成,改善肠道屏障功能。本研究表明,COP1 可能为缓解化疗引起的免疫抑制提供一种替代策略。

https://cdn.ncbi.nlm.nih.gov/pmc/blobs/5aee/9946750/4928b2528f56/OMCL2023-6208680.001.jpg

文献AI研究员

20分钟写一篇综述,助力文献阅读效率提升50倍。

立即体验

用中文搜PubMed

大模型驱动的PubMed中文搜索引擎

马上搜索

文档翻译

学术文献翻译模型,支持多种主流文档格式。

立即体验