Suppr超能文献

发现 2-氨基喹啉酸衍生物作为强效 SARS-CoV-2 抑制剂。

Discovery of 2-aminoquinolone acid derivatives as potent inhibitors of SARS-CoV-2.

机构信息

Research Institute of Pharmaceutical Sciences, College of Pharmacy, Seoul National University, Seoul 08826, Republic of Korea; Center for Convergent Research of Emerging Virus Infection (CEVI), Korea Research Institute of Chemical Technology, 141 Gajeong-ro, Yuseong-gu, Daejeon 34114, Republic of Korea.

Zoonotic Virus Laboratory, Institut Pasteur Korea, Seongnam-si, Gyeonggi-do 13488, Republic of Korea.

出版信息

Bioorg Med Chem Lett. 2023 Apr 1;85:129214. doi: 10.1016/j.bmcl.2023.129214. Epub 2023 Mar 2.

Abstract

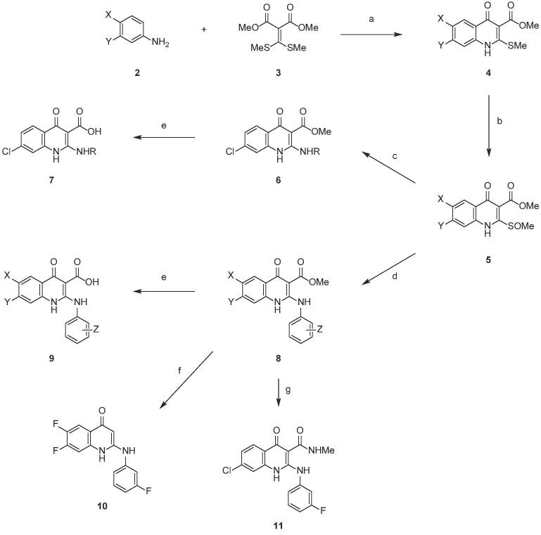
The COVID-19 pandemic caused by the Severe Acute Respiratory Syndrome Coronavirus 2 (SARS-CoV-2) continues to threaten human health and create socioeconomic problems worldwide. A library of 200,000 small molecules from the Korea Chemical Bank (KCB) were evaluated for their inhibitory activities against SARS-CoV-2 in a phenotypic-based screening assay to discover new therapeutics to combat COVID-19. A primary hit of this screen was the quinolone structure-containing compound 1. Based on the structure of compound 1 and enoxacin, which is a quinolone-based antibiotic previously reported to have weak activity against SARS-CoV-2, we designed and synthesized 2-aminoquinolone acid derivatives. Among them, compound 9b exhibited potent antiviral activity against SARS-CoV-2 (EC = 1.5 µM) without causing toxicity, while having satisfactory in vitro PK profiles. This study shows that 2-aminoquinolone acid 9b provides a promising new template for developing anti-SARS-CoV-2 entry inhibitors.

摘要

由严重急性呼吸系统综合症冠状病毒 2(SARS-CoV-2)引起的 COVID-19 大流行继续威胁着全球人类健康和造成社会经济问题。在一项表型筛选试验中,对来自韩国化学银行(KCB)的 20 万个小分子文库进行了评估,以寻找对抗 COVID-19 的新疗法。该筛选的一个主要命中物是含有喹诺酮结构的化合物 1。基于化合物 1 的结构和先前报道对 SARS-CoV-2 具有弱活性的喹诺酮类抗生素恩诺沙星,我们设计并合成了 2-氨基喹诺酮酸衍生物。其中,化合物 9b 对 SARS-CoV-2 表现出很强的抗病毒活性(EC = 1.5 µM)而没有毒性,同时具有满意的体外 PK 特征。本研究表明,2-氨基喹诺酮酸 9b 为开发抗 SARS-CoV-2 进入抑制剂提供了一个很有前途的新模板。

https://cdn.ncbi.nlm.nih.gov/pmc/blobs/0478/9979702/6849d4ae275f/ga1_lrg.jpg

文献AI研究员

20分钟写一篇综述,助力文献阅读效率提升50倍。

立即体验

用中文搜PubMed

大模型驱动的PubMed中文搜索引擎

马上搜索

文档翻译

学术文献翻译模型,支持多种主流文档格式。

立即体验