Suppr超能文献

利用[具体内容]和人体生物监测数据,开发、测试、参数化并校准用于增塑剂对苯二甲酸二(2-乙基己基)酯(DEHTP)的人体生理药代动力学(PBPK)模型。

Development, testing, parameterisation, and calibration of a human PBPK model for the plasticiser, di-(2-ethylhexyl) terephthalate (DEHTP) using , and human biomonitoring data.

作者信息

McNally Kevin, Sams Craig, Hogg Alex, Loizou George

机构信息

Health and Safety Executive, Harpur Hill, Buxton, United Kingdom.

出版信息

Front Pharmacol. 2023 Feb 20;14:1140852. doi: 10.3389/fphar.2023.1140852. eCollection 2023.

Abstract

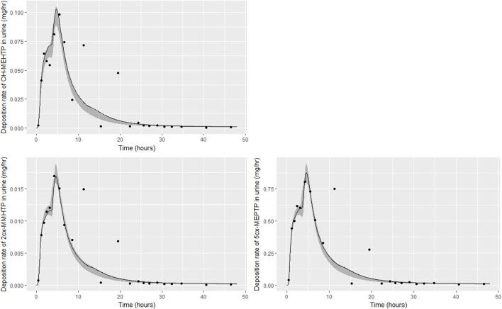
A physiologically based pharmacokinetic model for di-(2-ethylhexyl) terephthalate (DEHTP) based on a refined model for di-(2-propylheptyl) phthalate (DPHP) was developed to interpret the metabolism and biokinetics of DEHTP following a single oral dose of 50 mg to three male volunteers. and methods were used to generate parameters for the model. For example, measured intrinsic hepatic clearance scaled from to and plasma unbound fraction and tissue:blood partition coefficients (PCs) were predicted algorithmically. Whereas the development and calibration of the DPHP model was based upon two data streams, blood concentrations of parent chemical and first metabolite and the urinary excretion of metabolites, the model for DEHTP was calibrated against a single data stream, the urinary excretion of metabolites. Despite the model form and structure being identical significant quantitative differences in lymphatic uptake between the models were observed. In contrast to DPHP the fraction of ingested DEHTP entering lymphatic circulation was much greater and of a similar magnitude to that entering the liver with evidence for the dual uptake mechanisms discernible in the urinary excretion data. Further, the absolute amounts absorbed by the study participants, were much higher for DEHTP relative to DPHP. The algorithm for predicting protein binding performed poorly with an error of more than two orders of magnitude. The extent of plasma protein binding has important implications for the persistence of parent chemical in venous blood-inferences on the behaviour of this class of highly lipophilic chemicals, based on calculations of chemical properties, should be made with extreme caution Attempting read across for this class of highly lipophilic chemicals should be undertaken with caution since basic adjustments to PCs and metabolism parameters would be insufficient, even when the structure of the model itself is appropriate. Therefore, validation of a model parameterized entirely with and derived parameters would need to be calibrated against several human biomonitoring data streams to constitute a data rich source chemical to afford confidence for future evaluations of other similar chemicals using the read-across approach.

摘要

基于邻苯二甲酸二(2-丙基庚基)酯(DPHP)的改进模型,开发了一种基于生理学的邻苯二甲酸二(2-乙基己基)酯(DEHTP)药代动力学模型,以解释单次口服50毫克DEHTP后,三名男性志愿者体内DEHTP的代谢和生物动力学情况。采用[具体方法]为该模型生成参数。例如,测得的肝脏内在清除率从[具体数值1]变化到[具体数值2],血浆未结合分数以及组织与血液的分配系数(PCs)通过算法预测得出。DPHP模型的开发和校准基于两个数据流,即母体化学物质和主要代谢物的血液浓度以及代谢物的尿排泄情况,而DEHTP模型则根据单一数据流,即代谢物的尿排泄情况进行校准。尽管模型形式和结构相同,但观察到模型之间淋巴摄取存在显著的定量差异。与DPHP不同,摄入的DEHTP进入淋巴循环的比例要大得多,且与进入肝脏的比例相似,尿排泄数据中可看出存在双重摄取机制的证据。此外,研究参与者吸收的绝对量,DEHTP相对于DPHP要高得多。预测蛋白质结合的[具体算法]表现不佳,误差超过两个数量级。血浆蛋白结合程度对母体化学物质在静脉血中的持久性具有重要影响——基于化学性质计算对这类高亲脂性化学物质行为的推断应极其谨慎。对于这类高亲脂性化学物质,尝试进行类推时应谨慎,因为即使模型结构本身合适,对PCs和代谢参数进行基本调整也不够。因此,一个完全用[具体参数1]和[具体参数2]推导参数进行参数化的模型,其验证需要根据多个人体生物监测数据流进行校准,以构成一个数据丰富的源化学物质,从而为未来使用类推方法评估其他类似化学物质提供信心。

https://cdn.ncbi.nlm.nih.gov/pmc/blobs/7bd3/9986446/8a8ddaed8c6f/fphar-14-1140852-g001.jpg

文献AI研究员

20分钟写一篇综述,助力文献阅读效率提升50倍。

立即体验

用中文搜PubMed

大模型驱动的PubMed中文搜索引擎

马上搜索

文档翻译

学术文献翻译模型,支持多种主流文档格式。

立即体验