Suppr超能文献

每 1 分钟与 2 分钟交替轮换行心肺复苏术与救援者特征的关系:一项随机交叉模拟研究。

CPR quality with rotation of every 1 versus 2 minutes as characteristics of rescuers: A randomized crossover simulation study.

机构信息

Department of Emergency Medical Technology, Gyeongbuk Provincial College, Gyeongsangbuk-do, Republic of Korea.

Department of Emergency Medicine, School of Medicine, Daegu Catholic University, Daegu, Republic of Korea.

出版信息

Medicine (Baltimore). 2023 Mar 10;102(10):e33066. doi: 10.1097/MD.0000000000033066.

Abstract

BACKGROUND

Fatigue and rotation time are key factors affecting the quality of cardiopulmonary resuscitation (CPR). This study aimed to investigate the effects of rotation time on CPR duration, and sex on chest compression quality.

METHODS

In this randomized crossover simulation study, we enrolled 100 paramedic students stratified by sex and randomly grouped into 28 male and 22 female pairs. In the 2- and 1-minute scenarios, 2 participants performed CPR for 20 minutes with a rotation cycle of 2 minutes and 1 minute, respectively. After taking a break, they changed over and performed CPR again for 20 minutes. The switching of roles was performed with the students positioned on opposite sides of the mannequin. For chest compression quality, a set was defined as CPR performed by 1 pair in a 2-minute scenario for 4 minutes. The quality of CPR in each set was compared between the 2 groups.

RESULTS

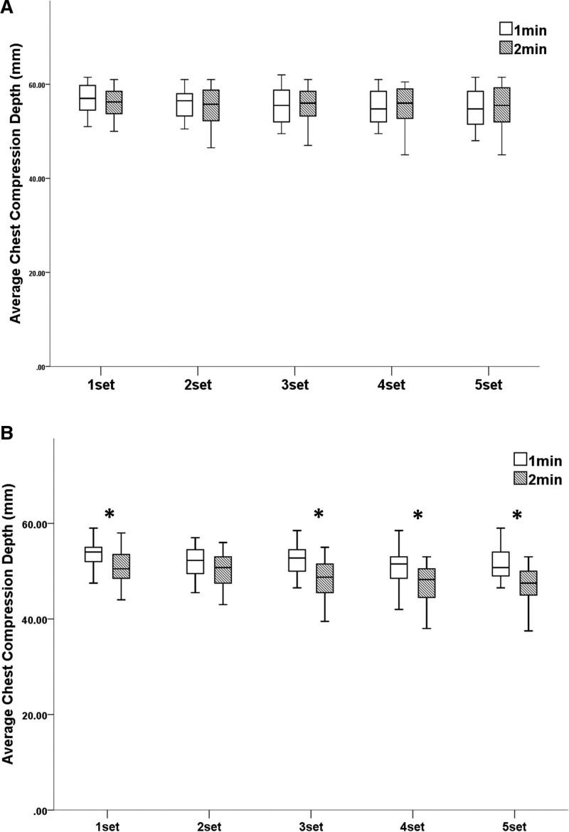
The 1-minute group showed significantly higher chest compression depth than the 2-minute group (54.0 [51.5-57.0] vs 52.5 [48.5-56.5] mm, P = .001, respectively). The female 2-minute group showed decreased chest compression depth over time, and the 1-minute group showed significantly increased chest compression depth during all sets except the 2nd set (54.0 [51.9-55.1] vs 50.5 [48.5-53.8] mm [P = .030], 52.3 [49.4-54.5] vs 50.8 [47.0-53.1] mm [P = .080], 52.8 [49.8-54.5] vs 48.8 [45.4-51.6] mm [P = .002], 51.5 [48.5-53.3] vs 48.3 [44.5-50.6] mm [P = .004], and 50.8 [48.9-54.1] vs 47.5 [44.6-50.1] mm [P = .001], respectively). The fatigue scores in the 2-minute group were significantly higher during sets 4 and 5 than those in the 1-minute group.

CONCLUSION

When rescuer fatigue increases during prolonged CPR owing to their physical strength and skill levels, the rotation of rescuers every minute would be helpful in maintaining high-quality CPR.

摘要

背景

疲劳和轮换时间是影响心肺复苏(CPR)质量的关键因素。本研究旨在探讨轮换时间对 CPR 持续时间的影响,以及性别对胸外按压质量的影响。

方法

在这项随机交叉模拟研究中,我们按性别分层招募了 100 名护理学生,并将他们随机分为 28 名男性和 22 名女性配对。在 2 分钟和 1 分钟的场景中,2 名参与者分别进行了 20 分钟的 CPR,轮换周期为 2 分钟和 1 分钟。休息后,他们改变角色,再次进行 20 分钟的 CPR。角色转换时,学生们站在模型的两侧。对于胸外按压质量,设定为 1 对学生在 2 分钟场景中进行 4 分钟的 CPR。比较了两组中每组的 CPR 质量。

结果

1 分钟组的胸外按压深度明显高于 2 分钟组(54.0[51.5-57.0]比 52.5[48.5-56.5]mm,P=0.001)。女性 2 分钟组的胸外按压深度随时间逐渐下降,而 1 分钟组在所有组(除第 2 组外)的胸外按压深度均明显增加(54.0[51.9-55.1]比 50.5[48.5-53.8]mm,P=0.030),52.3[49.4-54.5]比 50.8[47.0-53.1]mm,P=0.080),52.8[49.8-54.5]比 48.8[45.4-51.6]mm,P=0.002),51.5[48.5-53.3]比 48.3[44.5-50.6]mm,P=0.004),50.8[48.9-54.1]比 47.5[44.6-50.1]mm,P=0.001)。2 分钟组在第 4 组和第 5 组的疲劳评分明显高于 1 分钟组。

结论

由于体力和技能水平的原因,长时间进行心肺复苏时救援人员会感到疲劳,如果救援人员每 1 分钟轮换一次,将有助于保持高质量的心肺复苏。

https://cdn.ncbi.nlm.nih.gov/pmc/blobs/3e14/9997764/8fd9a785942b/medi-102-e33066-g001.jpg

文献AI研究员

20分钟写一篇综述,助力文献阅读效率提升50倍。

立即体验

用中文搜PubMed

大模型驱动的PubMed中文搜索引擎

马上搜索

文档翻译

学术文献翻译模型,支持多种主流文档格式。

立即体验