Suppr超能文献

组织工程中的可光交联天然聚合物。

Photocrosslinkable natural polymers in tissue engineering.

作者信息

Moon Seo Hyung, Hwang Hye Jin, Jeon Hye Ryeong, Park Sol Ji, Bae In Sun, Yang Yun Jung

机构信息

Department of Biological Sciences and Bioengineering, Inha University, Incheon, Republic of Korea.

Department of Biological Engineering, Inha University, Incheon, Republic of Korea.

出版信息

Front Bioeng Biotechnol. 2023 Mar 2;11:1127757. doi: 10.3389/fbioe.2023.1127757. eCollection 2023.

Abstract

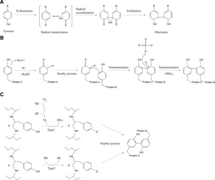
Natural polymers have been widely used in scaffolds for tissue engineering due to their superior biocompatibility, biodegradability, and low cytotoxicity compared to synthetic polymers. Despite these advantages, there remain drawbacks such as unsatisfying mechanical properties or low processability, which hinder natural tissue substitution. Several non-covalent or covalent crosslinking methods induced by chemicals, temperatures, pH, or light sources have been suggested to overcome these limitations. Among them, light-assisted crosslinking has been considered as a promising strategy for fabricating microstructures of scaffolds. This is due to the merits of non-invasiveness, relatively high crosslinking efficiency light penetration, and easily controllable parameters, including light intensity or exposure time. This review focuses on photo-reactive moieties and their reaction mechanisms, which are widely exploited along with natural polymer and its tissue engineering applications.

摘要

与合成聚合物相比,天然聚合物因其卓越的生物相容性、生物降解性和低细胞毒性而被广泛应用于组织工程支架。尽管具有这些优点,但仍存在一些缺点,如机械性能不令人满意或加工性低,这阻碍了天然组织替代。已经提出了几种由化学物质、温度、pH值或光源诱导的非共价或共价交联方法来克服这些限制。其中,光辅助交联被认为是一种有前途的制造支架微观结构的策略。这是由于其具有非侵入性、相对较高的交联效率、光穿透性以及易于控制的参数(包括光强度或曝光时间)等优点。本综述重点关注光反应性基团及其反应机制,这些基团与天然聚合物及其组织工程应用一起被广泛应用。

https://cdn.ncbi.nlm.nih.gov/pmc/blobs/aa3d/10037533/21ac3403256c/fbioe-11-1127757-g001.jpg

文献AI研究员

20分钟写一篇综述,助力文献阅读效率提升50倍。

立即体验

用中文搜PubMed

大模型驱动的PubMed中文搜索引擎

马上搜索

文档翻译

学术文献翻译模型,支持多种主流文档格式。

立即体验