Suppr超能文献

心材中多酚类化合物的神经保护和抗疱疹特性。

Neuroprotective and Antiherpetic Properties of Polyphenolic Compounds from Heartwood.

机构信息

G.B. Elyakov Pacific Institute of Bioorganic Chemistry, Far-Eastern Branch of the Russian Academy of Science, 690022 Vladivostok, Russia.

G.P. Somov Institute of Epidemiology and Microbiology, Rospotrebnadzor, 690087 Vladivostok, Russia.

出版信息

Molecules. 2023 Mar 13;28(6):2593. doi: 10.3390/molecules28062593.

Abstract

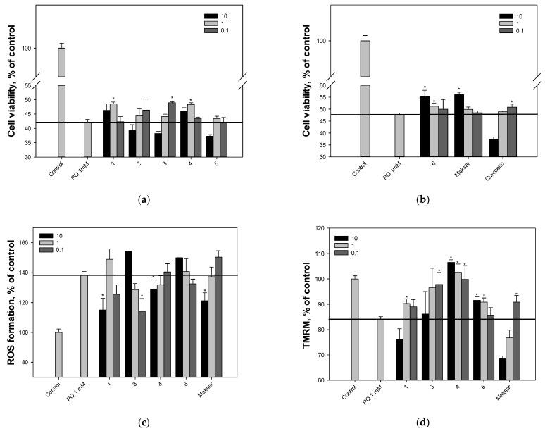
In this study, we isolated a new isoflavanostilbene maackiapicevestitol () as a mixture of two stable conformers and as well as five previously known dimeric and monomeric stilbens: piceatannol (), maackin (), scirpusin A (), maackiasine (), and maackolin () from heartwood, using column chromatography on polyamide, silicagel, and C-18. The structures of these compounds were elucidated by NMR, HR-MS, and CD techniques. Maksar obtained from heartwood and polyphenolics - possessed moderate anti-HSV-1 activity in cytopathic effect (CPE) inhibition and RT-PCR assays. A model of PQ-induced neurotoxicity was used to study the neuroprotective potential of polyphenolic compounds from . Maksar showed the highest neuroprotective activity and increased cell viability by 18% at a concentration of 10 μg/mL. Maackolin () also effectively increased the viability of PQ-treated Neuro-2a cells and the value of mitochondrial membrane potential at concentrations up to 10 μΜ. Maksar and compounds - possessed higher FRAP and DPPH-scavenging effects than quercetin. However, only compounds and at concentrations of 10 μM as well as Maksar (10 μg/mL) statistically significantly reduced the level of intracellular ROS in PQ-treated Neuro-2a cells.

摘要

在这项研究中,我们从心材中分离出一种新的异黄酮二苯乙烯 maackiapicevestitol (),它是两种稳定构象 和 的混合物,以及五种先前已知的二聚体和单体二苯乙烯:piceatannol ()、maackin ()、scirpusin A ()、maackiasine ()和 maackolin (),使用聚酰胺、硅胶和 C-18 柱层析进行分离。这些化合物的结构通过 NMR、HR-MS 和 CD 技术阐明。从心材和多酚中获得的 Maksar 在细胞病变效应 (CPE) 抑制和 RT-PCR 测定中具有中等抗 HSV-1 活性。使用 PQ 诱导的神经毒性模型研究了多酚化合物对 的神经保护潜力。Maksar 在 10 μg/mL 浓度下表现出最高的神经保护活性,使细胞活力提高了 18%。Maackolin () 也能有效提高 PQ 处理的 Neuro-2a 细胞活力和线粒体膜电位值,浓度高达 10 μM。Maksar 和化合物 - 具有比槲皮素更高的 FRAP 和 DPPH 清除作用。然而,只有化合物 和 ,在 10 μM 的浓度下,以及 Maksar(10 μg/mL),在统计学上显著降低了 PQ 处理的 Neuro-2a 细胞内 ROS 水平。

https://cdn.ncbi.nlm.nih.gov/pmc/blobs/5c6e/10056899/b125c3672e58/molecules-28-02593-g001.jpg

文献AI研究员

20分钟写一篇综述,助力文献阅读效率提升50倍。

立即体验

用中文搜PubMed

大模型驱动的PubMed中文搜索引擎

马上搜索

文档翻译

学术文献翻译模型,支持多种主流文档格式。

立即体验